Open Access Article

Bacterial toxin inhibitors based on multivalent scaffolds

Thomas R. Branson and W. Bruce Turnbull *
School of Chemistry and Astbury Centre for Structural Molecular Biology, University of Leeds, Leeds LS2 9JT, UK. E-mail: w.b.turnbull@leeds.ac.uk

Received 23rd October 2012

First published on 21st December 2012


Abstract

Protein toxins released by certain intestinal bacteria are the cause of many diarrhoeal diseases including cholera and travellers' diarrhoea. The toxins enter their target cells by first binding to specific glycolipids in the cell membrane. Inhibition of these proteincarbohydrate interactions has the potential to prevent the toxins from reaching their site of action, and thus avoid the ensuing diarrhoea. Simple oligosaccharides typically have low affinities for the protein toxins, therefore inhibitor design has focussed on exploiting the principles of multivalency: multiple weak interactions acting in concert can enhance the overall binding interaction. The major classes of multivalent inhibitors investigated to date will be discussed; these include glycopolymers, glycodendrimers, tailored glycoclusters and inhibitors exploiting templated assembly.



                  Thomas R. Branson

Thomas R. Branson

Tom Branson was born in Derby, England in 1987. He graduated from the University of York in 2009 with a Master of Chemistry degree, having spent his final year studying at The University of Helsinki. He is currently working for a PhD in the Turnbull laboratory at The University of Leeds. His current research focuses on the design and creation of protein architectures via protein–carbohydrate interactions and the synthesis of multivalent cholera toxin inhibitors.


                  W. Bruce Turnbull

W. Bruce Turnbull

Bruce Turnbull gained his BSc from the University of St Andrews in 1995, where he stayed on to study for a PhD with Prof. Rob Field. He then held a Wellcome Trust International Prize Travelling Research Fellowship with Prof. Sir Fraser Stoddart at the University of California, Los Angeles and with Prof. Steve Homans at the University of Leeds. Since 2005, he has been a Royal Society University Research Fellow in the School of Chemistry, University of Leeds. His research interests include oligosaccharide synthesis, protein–carbohydrate interactions and their potential application in synthetic biology. He chairs a COST Action network on Multivalent Glycosystems for Nanoscience.



Key learning points

1 Benefits of multivalent over monovalent inhibitors for bacterial toxins.

2 Overview of different types of multivalent scaffolds for constructing inhibitors.

3 The influence of ligand density on the activity of multivalent inhibitors.

4 The potential benefits of tailor-made inhibitor scaffolds.

5 The use of ligand templating for pre-organising inhibitor structures.


Introduction

Diarrhoeal diseases continue to pose a serious threat to human health, with an estimated two million deaths per annum, most of which are in children under five years old.1 A significant portion of these cases can be attributed to bacteria that produce protein toxins. The most widely studied of these toxins are cholera toxin (CT), the closely related E. coli heat-labile toxin (LT)2,3 and shiga-like toxin (Stx; also known as verotoxin, VT).4 Together, they belong to a family of AB5 toxins that comprise a single toxic A-subunit that is associated with a non-toxic B-pentamer that is a carbohydrate-binding protein which enables the toxin to enter cells (Fig. 1a).5,6
(a) Cholera toxin (1S5F.pdb); (b) cholera toxin B-pentamer (CTB) with GM1 ligand 1 depicted as a stick structure (3CHB.pdb); (c) shiga-like toxin B-pentamer (VTB/StxB) with Gb3 ligand 2 depicted as a stick structure (1BOS.pdb).
Fig. 1 (a) Cholera toxin (1S5F.pdb); (b) cholera toxin B-pentamer (CTB) with GM1 ligand 1 depicted as a stick structure (3CHB.pdb); (c) shiga-like toxin B-pentamer (VTB/StxB) with Gb3 ligand 2 depicted as a stick structure (1BOS.pdb).

Following initial adhesion of the B-pentamer to specific glycolipids that are present on the surface of the cells that line the intestine, the toxins enter the cells by endocytosis. They are then transported through the cell to the endoplasmic reticulum where the toxic A-subunit is released into the cytosol to have its cytotoxic effect.7,8 In the case of CT and LT, the toxin ADP-ribosylates the Gsα protein which leads to a rise in cAMP concentration in the cell and a complex series of events that result in release of water into the intestine.2 In the case of Stx, the toxic A-subunit is an N-glycosidase that removes purine bases from ribosomal RNA, thus inhibiting protein synthesis and causing cell death.9

The structures of the B-subunits of cholera and heat-labile toxins (CTB and LTB) are 80% identical, but they share essentially no sequence homology with the shiga-like toxin B-subunit (StxB) (Fig. 1b–c).5 This observation is surprising as all three toxins have the same protein fold and have evolved to perform the same function, i.e., to enable toxin endocytosis by binding to cell surface glycolipids. This function is facilitated by having their glycolipid binding sites arranged on the same face of the protein so that they can engage multiple copies of the sugar ligands at the same time.

The similarities and differences in protein sequences of CTB, LTB and StxB are reflected in their carbohydrate-binding specificities. CTB and LTB both recognise ganglioside GM1 1,10 while StxB binds to globotriaosyl ceramide (Gb3) 2 (Fig. 1).11 However, CTB and LTB are not identical, and certain variants of these proteins can differentiate between blood group oligosaccharides in a secondary binding site on the circumference of the pentamer.12–14 The most striking difference between CTB/LTB and StxB lies in the affinities for their glycolipid ligands. The CTB/LTB-GM1 interaction is among the highest affinity proteincarbohydrate interactions known (Kd = 10–40 nM for a monovalent interaction),15 whereas StxB binds only weakly to individual Gb3 oligosaccharides (Kd = 1 mM).16 Therefore, StxB relies on multivalency (i.e., simultaneous binding to multiple copies of its ligand) to achieve a functionally useful interaction with a cell surface. Up to 15 copies of the Gb3 ligand can bind simultaneously to a StxB pentamer leading to a sub-nM dissociation constant.11 Although CTB/LTB can bind tightly to an individual GM1 molecule, multivalent interactions are still important in facilitating endocytosis.17

As proteincarbohydrate interactions are an essential prerequisite for cell entry and toxin activity, the development of inhibitors for these interactions has attracted much interest over recent years. In general it is very challenging to make low weight inhibitors of carbohydrate-binding proteins as the binding sites are typically shallow and highly solvated. In the case of CTB/LTB, substantial changes to the GM1 structure usually result in decreases in affinity (Fig. 2).18 For example, methyl β-galactoside 3 has a 15 mM dissociation constant;15 GM1 mimic 4 has a Kd value of 10 μM;19 and aromatic α-galactosides 5 and 6 have Kd values of 125 and 12 μM, respectively.20 As even the best of these compounds still bind around 1000 times more weakly than GM1 1, researchers have instead focussed their attention on making multivalent inhibitors that can engage multiple carbohydrate binding sites simultaneously. Herein we will compare some of the major classes of multivalent inhibitors investigated to date: glycopolymers, glycodendrimers, tailored glycoclusters and inhibitors exploiting templated assembly (Fig. 3).


Monovalent galactoside inhibitors for CTB/LTB.
Fig. 2 Monovalent galactoside inhibitors for CTB/LTB.

(a) Glycopolymer; (b) glycodendrimer; (c) glycocluster.
Fig. 3 (a) Glycopolymer; (b) glycodendrimer; (c) glycocluster.

Polymeric inhibitors

To take advantage of the benefits of multivalency, a suitable method must be found to connect multiple ligands together. The most simple way to organise multiple copies of a ligand is to string them out along a chain. Polymers can be used to achieve this arrangement; their relative ease of synthesis and variability of structure and length make them ideal for use as a general architecture for multivalent presentation.

The benefits of using multivalent inhibitors for bacterial toxins were shown in an early example by Schengrund and Ringler.21 In this study, reductive amination of the GM1os to the free amino groups on the polylysine scaffold resulted in polymer 7 (Fig. 4) with an average of eight oligosaccharides. It was found that this polymer was 1000-fold more effective than GM1 oligosaccharide for inhibiting cholera toxin from adhering to GM1 coated plates.


Glycopolymer inhibitors of bacterial toxins.
Fig. 4 Glycopolymer inhibitors of bacterial toxins.

Gb3–polyacrylamide conjugates have been used to neutralise Stx-1 in human ACHN cells by Dohi et al.22 They concluded that the clustering effect of multiple ligands presented on polymer 8 must be the reason for successful inhibition as the individual affinity of one copy of the Gb3 ligand was too low to have any effect in cells. Analogous polyacrylamide glycopolymers having varying degrees of substitution with the Gb3 trisaccharide were reported by Gargano et al.23 They found that polymer 9 gave 5000 times enhancement of the inhibition of Stx-1 over the monomeric carbohydrate. The degree of ligand substitution between 10% and 30% did not have a substantial effect on inhibition. In contrast, other studies with similar polymers have shown that the density of the carbohydrate ligands on the polymer chain can affect the binding affinity to the Stx-2 isoform of the toxin, as can the length of spacer from the backbone chain.24,25 For example, a higher density of Gb3 along polymer chain 10 provided higher affinity binding to Stx-2 but had little effect on binding to Stx-1.24 The density-dependence of binding to Stx-2 is significant as the Stx-2 isoform of the toxin is considered to have greater clinical importance than Stx-1.

The Kiick group have extensively investigated the effect on inhibition by carbohydrate density; the specific distance between carbohydrates on a polypeptide chain; and the spacer length from the polypeptide backbone. Using galactosyl polymers 11 and 12 as inhibitors for CTB, it was found that as the density of ligands increases, so the inhibitory effect decreases.26 These results are in contrast to the previous findings by Watanabe et al. with Stx-2.24 Kiick and co-workers concluded that the best inhibition was achieved when the spacing between ligands on the polymer chain was matched to the distance between binding pockets of the toxin; this distance being 35 Å for CTB. When the density was sufficiently high that spacing between carbohydrates was smaller than the distance between binding sites, steric hindrance created by unbound ligands decreased overall binding. The spacer length from the polymer backbone chain told a similar story.26 Inhibition was greater when the spacer matched the natural ligand length of GM1 (16 Å). The longer ligand 12 could therefore fully penetrate the binding site as opposed to a reduced accessibility when a shorter spacer 11 was used. Matching the ligand spacing to the binding site dimensions improves the effectiveness of the ligands, giving rise to high inhibition with these well designed polymers.

Richards et al. had similar findings with their polymethacrylamide polymers 13 presenting galactosyl ligands for CTB binding.27 This study went further to suggest that there is a varying relationship between ligand density and inhibition. At a high density of carbohydrates along the polymer chain, a high rate of statistical rebinding is achieved giving good inhibition. At only 10% density there is lower steric hindrance and a better fit to the binding site. Similar inhibition results were found per galactose moiety for polymers substituted 100% and 10% with ligand groups. Between these values, inhibition decreases as the balance between the competing effects worsens.

Further studies were performed by the Kiick group on the composition of polypeptide backbones. They found that random coil backbones were better suited than those with restricted alpha helical conformations, as flexibility of the polymers allows more accessible ligand groups.28 They showed that electrostatic repulsion gave a larger hydrodynamic radius for a polymer with negatively charged residues than for a neutral chain.29 The resulting larger chain dimensions led to better inhibition, again due to the accessibility of the ligands. The charge of the peptide backbone was also shown to be of importance as negative glutamic acid residues aided inhibition, neutral glycine residues were acceptable, but positively charged lysine residues were detrimental to the inhibitory properties of the glycopolymers.30 There are positively charged residues present on the surface of CTB around the binding pocket and so complementing these charges should improve binding. A negatively charged backbone gave an IC50 value almost three times better than that for a neutral backbone, whereas introducing positive charges led to an IC50 value four times worse than a neutral backbone.

Bundle and co-workers have reported a strategy to identify optimal ligand groups for multivalent display by synthesising libraries of glycomimetics on polyacrylamide or aminated dextran backbones.31 They found that screening ligand groups for CTB inhibition in a multivalent format made it easier to identify optimal ligands than if they had studied the analogous low affinity monovalent compounds.

Without prior knowledge of the valency or structure of the target protein, polymers are a good starting point for building multivalent inhibitors. However, defining the distance between ligand groups and the length of the spacer to the polymer backbone can result in much improved binding when these parameters can be matched with the dimensions of the protein binding sites. While linear polymers with pendant carbohydrate groups are relatively easy to make, they are also frequently heterogeneous in their distribution of the ligand groups. Therefore only a subset of ligand groups will presumably be in the optimal arrangement to binding to the target protein. Multivalent scaffolds that provide greater homogeneity or restrict the ligand groups into a favourable orientation for binding could potentially provide improved inhibition.

Branching out into glycodendrimers

Glycodendrimers are monodisperse branched tree-like structures that, in principle, combine the advantages of homogeneous small molecular inhibitors with the dimensions and high valencies of glycopolymers.32,33 Schengrund's group was the first to use PAMAM 14 and poly(propylene imine) 15 dendrimers for CT inhibition, building on their knowledge of multivalent polymers.34,35 These dendrimers (Fig. 5) with an average of seven GM1 ligands attached, provided inhibition against CT binding to cell surfaces. The results were found to be similar to those for their polymers and provided 1000-fold increased inhibition relative to GM1 oligosaccharide.
PAMAM and poly(propylene imine) glycodendrimers.
Fig. 5 PAMAM and poly(propylene imine) glycodendrimers.

The Pieters group have created a set of dendrimers, synthesised by a convergent approach, with a variety of carbohydrate end groups as CTB inhibitors (Fig. 6).36 Their first scaffolds were prepared with two, four and eight arms terminating in lactose sugars (16a–c).37 As expected, it was found that the multivalent dendrimers gave an increase in inhibition with the octavalent ligand having the strongest binding with a Kd of 33 μM as measured by a fluorescence titration assay. More surprisingly however, were the results for the monovalent and divalent ligands. The monovalent lactosyl head group had a Kd of 248 μM, 73 times more potent than simple lactose. This increase in affinity could partially be explained by additional interactions being created between the aglycone and the protein. The divalent ligand 16a gave an affinity only slightly stronger and it was proposed that this was because the linker length was not sufficient to allow both carbohydrates to bind simultaneously to adjacent subunits. It is therefore important to note that binding site spacing needs to be taken into account when designing dendrimers for multivalent inhibition, as with glycopolymers.


Glycodendrimer inhibitors synthesised by Pieters and co-workers.
Fig. 6 Glycodendrimer inhibitors synthesised by Pieters and co-workers.

A more systematic study then followed from the same group using the same dendrimer scaffold as before, but with increased linker lengths to improve the reach of their ligands. SPR binding studies demonstrated that dendrimers 17a–c bearing an (R)-lactic GM1 mimic all achieved improved binding.38 The monovalent ligand had an IC50 value of 97 μM, while that for divalent compound 17a was 13 μM. The tetra- and octavalent inhibitors 17b and 17c both gave IC50 = 0.5 μM, however, the detection limit for the assay had already been reached. An ELISA assay confirmed the octavalent dendrimer to be the most potent.

Galactose ligands on a long PEG spacer were also studied.39 The PEG spacer was introduced to mimic the hydrophilicity and lipophilicity of GM1 and was introduced onto the dendrimers via “click” chemistry. Divalent compound 18a had an IC50 value of 130 μM in an ELISA assay, compared to 80 mM for the monovalent ligand. The best dendrimer was found to give similar activity to the natural GM1 oligosaccharide ligand. This was octavalent ligand 18c which had an IC50 of 12 μM, i.e., 2500 times more potent per sugar group than the monovalent galactosyl compound. The strongest inhibitory potency was found when GM1 oligosaccharides were attached to dendritic scaffolds a–c.40 Octavalent ligand 19c was found to have an IC50 of 50 pM, almost 50[thin space (1/6-em)]000 times stronger per sugar group than the GM1 oligosaccharide.

Sisu et al. used a combination of analytical ultracentrifugation, dynamic light scattering and atomic force microscopy to show that Pieters' di- and tetravalent dendrimers (19a and 19b) inhibited toxin adhesion through an aggregation mechanism.41 Some dimerisation of LTB was shown to be induced by the divalent compounds but this was not seen for the tetravalent compound. While the multivalent ligands could have potentially formed discrete protein assemblies, in this case uncontrolled aggregation was observed. It was proposed that the random aggregation occurred as a consequence of a mismatch between the valencies of the ligands and the toxin.

A set of carbosilane structures named “Super Twig” (Fig. 7) were produced by Nishikawa et al. and used to inhibit StxB.42 The Super Twig dendrimers were synthesised in a divergent fashion by consecutive reaction of trichlorosilane and allyl Grignard, with the sugars then coupled to brominated terminal groups. First generation dendrimers were produced with the Gb3 trisaccharide appended at the termini. A compound with six oligosaccharides 21 was found to neutralise Stx in vivo and completely suppressed the lethal effect of Stx when administered intravenously in mice. The dendrimers were further optimised to function in circulation and a new molecule with 18 carbohydrate groups 22 showed complete inhibition of Stx-2.43 Dendrimers were synthesised with up to 36 head groups but this large increase was not reflected with much change in the affinity for Stx as all the structures gave similar results. The dumbbell shape of the dendrimers was found to be important as a structure with only one group of three Gb3 ligands 20 gave a much higher Kd of 195 μM compared to 0.69 μM when there were two groups 21 and 0.45 μM for the second generation dendrimer 22.


Super Twig dendrimers.
Fig. 7 Super Twig dendrimers.

The best glycodendrimers are better than the best of the linear polymers. However, the preference for having long flexible linkers to the ligand groups indicates that the densely packed globular shape of higher generation dendrimers is not desirable for inhibition. The glycodendrimers synthesised to date do not take advantage of the 5-fold symmetry of bacterial toxins, which suggests that further advantage could be gained through the design of tailor-made inhibitors.

Reaching for the stars

Concurrent independent studies by Bundle44 and Fan45 led to the creation of star-shaped inhibitors that take advantage of the pentagonal symmetry of bacterial toxins. Theoretically, a five armed star could sit on a toxin pentamer with each arm reaching out to a separate binding site. While the Bundle group focussed on inhibitors of Stx, Fan, Hol and co-workers designed inhibitors for LT and CT.

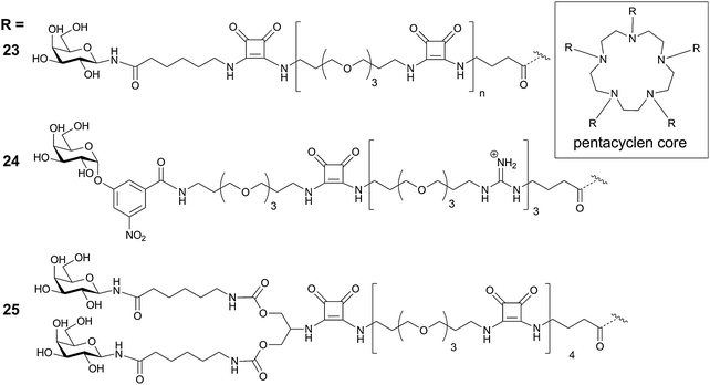
The Fan group attached galactose onto the arms of a scaffold radiating from a pentacyclen core (Fig. 8).45 They adopted a modular approach to the design and synthesis of the linker arms so that they could be varied in length. The use of squaric acid diesters as linking agents allowed two different amines to be coupled consecutively in an efficient manner. The effective length of long flexible linkers is actually much shorter than the extended conformation and it was found that the inhibitor was most potent when the linkers were of a size that presented the carbohydrate ligands efficiently at the binding sites. This finding confirmed the concept proposed previously by Kramer and Karpen that matching the effective dimensions of a ligand with flexible linkers and the binding site distribution, gives the greatest binding affinity.46 The multivalent effect of the optimal pentavalent scaffold 23 (n = 4) gave a 100[thin space (1/6-em)]000-fold enhancement in the IC50 value over a monovalent galactoside. It was also found that the pentavalent ligands formed 1[thin space (1/6-em)]:[thin space (1/6-em)]1 complexes with the toxins and no large scale aggregates were observed.


Star-shaped LT/CT inhibitors reported by Fan, Hol and co-workers.
Fig. 8 Star-shaped LT/CT inhibitors reported by Fan, Hol and co-workers.

Higher affinity inhibitors were produced by incorporating m-nitrophenyl-α-galactoside as the ligand group, and introducing a guanidine-bridged water soluble linker. The resulting compound 24 had an IC50 of 6 nM, which was about 3 times more potent than the GM1 oligosaccharide.47

Targeting multiple copies of the toxins

When using multivalent ligands to inhibit protein binding it has been seen that tailoring the design of the ligand can greatly improve its binding strength. However, it could prove more efficient to be able to complex more than one toxin protein with each inhibitor. Targeting multiple proteins at once can be achieved by using chemical-inducers of dimerisation (CIDs).48 If the multivalency strategy were to be combined with CIDs then self-templating, self-assembled structures could potentially produce better inhibition of the toxins.

The Bundle group was the first to make a large step towards this goal with their Starfish ligand 26 (Fig. 9).44 Two carbohydrate ligands were arranged at the end of each arm of a pentavalent glucose core. Starfish 26 gave over a million fold increase in inhibition relative to the monovalent Gb3 ligand. The decavalent structure was originally designed to bind to two separate binding sites on each sub-unit of the shiga-like toxin. However, a crystal structure of the complex revealed that Starfish bound only to one carbohydrate site in each of the toxin subunits, while using the remaining five Gb3 groups to complex binding sites on a second StxB pentamer, thus holding two pentamers together. These unexpected dimeric structures were proposed to be thermodynamically favourable and were thought to avoid potential strain that would arise if the ligands were to chelate two binding sites within a single StxB protomer. A later study indicated that divalent binding to a single StxB protomer was accompanied by a significant entropic penalty for restricting the dynamics of the protein.49 Improving on Starfish, was another inhibitor from the same group nicknamed Daisy.50 This decavalent structure used the same Gb3 trisaccharide but linked through the reducing terminus rather than two position of the central sugar of Gb3. The new ligand with slightly longer linker spacing between the oligosaccharide groups was found to better protect mice against Stx-1 and Stx-2.


Star-shaped Stx inhibitors reported by Bundle and co-workers.
Fig. 9 Star-shaped Stx inhibitors reported by Bundle and co-workers.

Fan's group also incorporated divalent ligands into their pentameric scaffolds to make the inhibitors decavalent (Fig. 8).51 These, as with the Bundle ligands, bound to two toxin pentamers in a face to face dimer. Decavalent ligand 25 with optimised linker lengths gave a one million-fold decrease in the IC50 value compared to the simple monovalent ligand, again showing the power of multivalency in these carefully designed structures. Importantly, decavalent ligand 25 was over 10 times more potent than the equivalent pentavalent structure 23 (n = 4).

Inhibitors using templated assembly

Templated assembly is another strategy for inducing protein dimerisation that was pioneered by Pepys et al. in their work on serum amyloid P component (SAP).52 SAP is a pentameric protein in the pentraxin family that plays a role in the human innate immune system. Pepys et al. found that simple divalent proline derivatives e.g., 29 (Fig. 10a) are able to bring two SAP pentamers together to form a face-to-face dimer.
Templated assembly of protein dimerisation using (a) homodimeric ligands for SAP; (b) heterodimeric ligands for SAP and StxB/LTB/CTB; (c) heterodimeric ligands on a pentameric scaffold (e.g., compound 28, Fig. 9).
Fig. 10 Templated assembly of protein dimerisation using (a) homodimeric ligands for SAP; (b) heterodimeric ligands for SAP and StxB/LTB/CTB; (c) heterodimeric ligands on a pentameric scaffold (e.g., compound 28, Fig. 9).

SAP shares the pentameric structure that is common to the bacterial toxins and their binding sites are conveniently spaced for a simple divalent ligand to bridge the binding sites in both proteins (Fig. 10b). Fan and co-workers made heterodivalent ligand 32 that combines a proline derivative with a nitrophenyl galactoside and showed that it could complex serum amyloid P component (SAP) with CTB.53 Dynamic light scattering measurements confirmed the formation of the two protein complex and no significant higher aggregates were observed. Inhibition studies on CTB showed the divalent ligand to have an IC50 of 620 μM, but when SAP was included this value was reduced to 0.98 μM. The templating effect of the SAP protein thus provided the great enhancement in inhibition.

In a similar way, the Bundle group have used homodivalent, and heterodivalent ligands to create dimers of SAP54 and to form complexes with StxB.55 In this case they employed a cyclic ketal of pyruvate and glycerol as the SAP ligand. The flexible short ligand 30 had an IC50 value of 3.8 μM but a more rigid linker 31 gave a greater potency with an IC50 of 0.12 μM. The rigid unit was thought to minimise the loss of conformational entropy upon binding. Complexes of SAP with StxB were also formed by use of heterodivalent ligands comprising a pyruvate acetal and the Gb3 oligosaccharide.55 As before, flexibility in the linker was detrimental to its inhibitory potency; rigid ligand 33 was about 50-fold better than the more flexible ligand 34. They found that these smaller ligands were just as potent as the Starfish ligand in a cytotoxicity assay. However, in vivo trials showed a poor performance for the heterodivalent inhibitors as a consequence of their rapid clearance when compared to the much larger Starfish compound 26.

Heterodivalent ligands comprising a cyclic pyruvate ketal of glycerol and the Gb3 oligosaccharide were also incorporated onto modified a Starfish scaffold (Fig. 10c).56 Ligand 28 (Fig. 9), now bifunctional, was able to bring together the two different proteins as expected. The inhibitor had an IC50 value of 140 μM but in the presence of SAP this value was improved by a factor of 35. A combination of ligand prearrangement and templating was also demonstrated using the same heterodivalent ligands on a polymer backbone.57 The polymers themselves had modest inhibitory power against Stx, similar to other polymeric inhibitors. But when combined with SAP, the protein templating effect for the ligand resulted in a 100[thin space (1/6-em)]000 fold improvement on the IC50 value. These multimeric inhibitors performed much better than Starfish 26 in a cytotoxicity assay and trials in vivo.

Conclusions

The studies outlined in this review show us that weak interactions can be greatly enhanced through multivalency. A wide variety of different structures have been created for use as multivalent inhibitors. This article is not intended to be a comprehensive review of all scaffolds investigated to date and other scaffolds, e.g., calixarenes and glyconanoparticles have been discussed elsewhere.58,59 Instead our aim has been to highlight some of the general principles of multivalent inhibitor design for the bacterial toxins by considering some of the major classes of multivalent scaffolds. Investigations using glycopolymers and glycodendrimers have led to the realisation that multivalent ligands that have been designed to have an improved fit to the carbohydrate binding sites can display a significant increase in affinity. The ligand spacing and length of spacer connecting the sugar to the scaffold are important to achieve optimal binding. However, better inhibition is not necessarily achieved by maximising the number of ligand groups as increased steric crowding can prevent efficient interactions from forming.

An understanding of the structure of the bacterial toxins has led researchers to move away from simple polymeric inhibitors to more sophisticated constructions. Having a prior knowledge of the target protein is advantageous in aiding the design of the most suitable ligands and it has been seen that prearrangement of ligands to precisely fit the binding sites increases their inhibitory potential. The five-fold symmetry of the toxins has directed work towards star shaped inhibitors that present their carbohydrate ligands at precise positions for binding. Matching the valency of the inhibitor to that of the target protein can prevent unwanted aggregation. These designs can be further improved by creating self-assembling complexes of proteins. The templating effect created by the first protein can pre-organise the ligand for engaging with a second protein molecule. Templation can also have a powerful effect when used with simple small divalent ligands. Binding interactions that individually have unimpressive affinities, can still give rise to strong inhibition when assembling proteins.

In the search for higher affinity ligands and the improved inhibition of bacterial toxins, there are many different multivalent scaffolds to choose from. The smartest designs, including a combination of templating and pre-organisation of ligand groups, have the potential to produce the most potent inhibitors. Future studies should aim to combine these principles to develop scalable, economically viable multivalent materials that can ultimately be applied in the clinic.

Acknowledgements

The authors thank the Royal Society (UF051621/UF090025), EPSRC (EP/G043302/1) and COST (CM1102) for funding. WBT is the recipient of a Royal Society University Research Fellowship.

Notes and references

  1. M. Kosek, C. Bern and R. L. Guerrant, Bull. W. H. O., 2003, 81, 197–204 Search PubMed.
  2. L. de Haan and T. R. Hirst, Mol. Membr. Biol., 2004, 21, 77–92 CrossRef CAS.
  3. D. Vanden Broeck, C. Horvath and M. J. S. De Wolf, Int. J. Biochem. Cell Biol., 2007, 39, 1771–1775 CrossRef CAS.
  4. M. Muniesa, J. A. Hammerl, S. Hertwig, B. Appel and H. Brussow, Appl. Environ. Microbiol., 2012, 78, 4065–4073 CrossRef CAS.
  5. E. A. Merritt and W. G. J. Hol, Curr. Opin. Struct. Biol., 1995, 5, 165–171 CrossRef CAS.
  6. M. E. Ivarsson, J.-C. Leroux and B. Castagner, Angew. Chem., Int. Ed., 2012, 51, 4024–4045 CrossRef CAS.
  7. L. De Haan and T. R. Hirst, Mol. Membr. Biol., 2004, 21, 77–92 CrossRef CAS.
  8. K. Sandvig, J. Bergan, A.-B. Dyve, T. Skotland and M. L. Torgersen, Toxicon, 2010, 56, 1181–1185 CrossRef CAS.
  9. Y. Endo, K. Tsurugi, T. Yutsudo, Y. Takeda, T. Ogasawara and K. Igarashi, Eur. J. Biochem., 1988, 171, 45–50 CrossRef CAS.
  10. E. A. Merritt, P. Kuhn, S. Sarfaty, J. L. Erbe, R. K. Holmes and W. G. J. Hol, J. Mol. Biol., 1998, 282, 1043–1059 CrossRef CAS.
  11. H. Ling, A. Boodhoo, B. Hazes, M. D. Cummings, G. D. Armstrong, J. L. Brunton and R. J. Read, Biochemistry, 1998, 37, 1777–1788 CrossRef CAS.
  12. A. Holmner, G. Askarieh, M. Oekvist and U. Krengel, J. Mol. Biol., 2007, 371, 754–764 CrossRef CAS.
  13. J. E. Heggelund, E. Haugen, B. Lygren, A. Mackenzie, Å. Holmner, F. Vasile, J. J. Reina, A. Bernardi and U. Krengel, Biochem. Biophys. Res. Commun., 2012, 418, 731–735 CrossRef CAS.
  14. P. K. Mandal, T. R. Branson, E. D. Hayes, J. F. Ross, J. A. Gavin, A. H. Daranas and W. B. Turnbull, Angew. Chem., Int. Ed., 2012, 51, 5143–5146 CrossRef CAS.
  15. W. B. Turnbull, B. L. Precious and S. W. Homans, J. Am. Chem. Soc., 2004, 126, 1047–1054 CrossRef CAS.
  16. P. M. St. Hilaire, M. K. Boyd and E. J. Toone, Biochemistry, 1994, 33, 14452–14463 CrossRef CAS.
  17. A. A. Wolf, M. G. Jobling, D. E. Saslowsky, E. Kern, K. R. Drake, A. K. Kerworthy, R. K. Holmes and W. I. Lencer, Infect. Immun., 2008, 76, 1476–1484 CrossRef CAS.
  18. E. D. Hayes and W. B. Turnbull, in Synthesis and Biological Applications of Multivalent Glycoconjugates, ed. O. Renaudet and N. Spinelli, Bentham Science Publishers, 2011, pp. 78–91 Search PubMed.
  19. D. Arosio, S. Baretti, S. Cattaldo, D. Potenza and A. Bernardi, Bioorg. Med. Chem. Lett., 2003, 13, 3831–3834 CrossRef CAS.
  20. J. C. Pickens, E. A. Merritt, M. Ahn, C. Verlinde, W. G. J. Hol and E. K. Fan, Chem. Biol., 2002, 9, 215–224 CrossRef CAS.
  21. C. L. Schengrund and N. J. Ringler, J. Biol. Chem., 1989, 264, 13233–13237 CAS.
  22. H. Dohi, Y. Nishida, M. Mizuno, M. Shinkai, T. Kobayashi, T. Takeda, H. Uzawa and K. Kobayashi, Bioorg. Med. Chem., 1999, 7, 2053–2062 CrossRef CAS.
  23. J. M. Gargano, T. Ngo, J. Y. Kim, D. W. K. Acheson and W. J. Lees, J. Am. Chem. Soc., 2001, 123, 12909–12910 CrossRef CAS.
  24. M. Watanabe, K. Matsuoka, E. Kita, K. Igai, N. Higashi, A. Miyagawa, T. Watanabe, R. Yanoshita, Y. Samejima, D. Terunuma, Y. Natori and K. Nishikawa, J. Infect. Dis., 2004, 189, 360–368 CrossRef CAS.
  25. P. Neri, S. I. Nagano, S. Yokoyama, H. Dohi, K. Kobayashi, T. Miura, T. Inazu, T. Sugiyama, Y. Nishida and H. Mori, Microbiol. Immunol., 2007, 51, 581–592 CAS.
  26. B. D. Polizzotti and K. L. Kiick, Biomacromolecules, 2006, 7, 483–490 CrossRef CAS.
  27. S.-J. Richards, M. W. Jones, M. Hunaban, D. M. Haddleton and M. I. Gibson, Angew. Chem., Int. Ed., 2012, 51, 7812–7816 CrossRef CAS.
  28. S. Liu and K. L. Kiick, Macromolecules, 2008, 41, 764–772 CrossRef CAS.
  29. B. D. Polizzotti, R. Maheshwari, J. Vinkenborg and K. L. Kiick, Macromolecules, 2007, 40, 7103–7110 CrossRef CAS.
  30. R. Maheshwari, E. A. Levenson and K. L. Kiick, Macromol. Biosci., 2010, 10, 68–81 CrossRef CAS.
  31. H.-A. Tran, P. I. Kitov, E. Paszkiewicz, J. M. Sadowska and D. R. Bundle, Org. Biomol. Chem., 2011, 9, 3658–3671 CAS.
  32. W. B. Turnbull and J. F. Stoddart, Rev. Mol. Biotechnol., 2002, 90, 231–255 CrossRef CAS.
  33. Y. M. Chabre and R. Roy, Adv. Carbohydr. Chem. Biochem., 2010, 63, 165–393 CrossRef CAS.
  34. J. P. Thompson and C.-L. Schengrund, Glycoconjugate J., 1997, 14, 837–845 CrossRef CAS.
  35. J. P. Thompson and C.-L. Schengrund, Biochem. Pharmacol., 1998, 56, 591–597 CrossRef CAS.
  36. R. J. Pieters, Org. Biomol. Chem., 2009, 7, 2013–2025 CAS.
  37. I. Vrasidas, N. J. de Mol, R. M. J. Liskamp and R. J. Pieters, Eur. J. Org. Chem., 2001, 4685–4692 CrossRef CAS.
  38. D. Arosio, I. Vrasidas, P. Valentini, R. M. J. Liskamp, R. J. Pieters and A. Bernardi, Org. Biomol. Chem., 2004, 2, 2113–2124 CAS.
  39. H. M. Branderhorst, R. M. J. Liskamp, G. M. Visser and R. J. Pieters, Chem. Commun., 2007, 5043–5045 RSC.
  40. A. V. Pukin, H. M. Branderhorst, C. Sisu, C. A. G. M. Weijers, M. Gilbert, R. M. J. Liskamp, G. M. Visser, H. Zuilhof and R. J. Pieters, ChemBioChem, 2007, 8, 1500–1503 CrossRef CAS.
  41. C. Sisu, A. J. Baron, H. M. Branderhorst, S. D. Connel, C. Weijers, R. de Vries, E. D. Hayes, A. V. Pukin, M. Gilbert, R. J. Pieters, H. Zuilhof, G. M. Visser and W. B. Turnbull, ChemBioChem, 2009, 10, 329–337 CrossRef CAS.
  42. K. Nishikawa, K. Matsuoka, E. Kita, N. Okabe, M. Mizuguchi, K. Hino, S. Miyazawa, C. Yamasaki, J. Aoki, S. Takashima, Y. Yamakawa, M. Nishijima, D. Terunuma, H. Kuzuhara and Y. Natori, Proc. Natl. Acad. Sci. U. S. A., 2002, 99, 7669–7674 CrossRef CAS.
  43. K. Nishikawa, K. Matsuoka, M. Watanabe, K. Igai, K. Hino, K. Hatano, A. Yamada, N. Abe, D. Terunuma, H. Kuzuhara and Y. Natori, J. Infect. Dis., 2005, 191, 2097–2105 CrossRef CAS.
  44. P. I. Kitov, J. M. Sadowska, G. Mulvey, G. D. Armstrong, H. Ling, N. S. Pannu, R. J. Read and D. R. Bundle, Nature, 2000, 403, 669–672 CrossRef CAS.
  45. E. Fan, Z. Zhang, W. E. Minke, Z. Hou, C. L. M. J. Verlinde and W. G. J. Hol, J. Am. Chem. Soc., 2000, 122, 2663–2664 CrossRef CAS.
  46. R. H. Kramer and J. W. Karpen, Nature, 1998, 395, 710–713 CrossRef CAS.
  47. Z. Zhang, J. C. Pickens, W. G. J. Hol and E. Fan, Org. Lett., 2004, 6, 1377–1380 CrossRef CAS.
  48. D. M. Spencer, T. J. Wandless, S. L. Schreiber and G. R. Crabtree, Science, 1993, 262, 1019–1024 CAS.
  49. A. Yung, W. B. Turnbull, A. P. Kalverda, G. S. Thompson, S. W. Homans, P. Kitov and D. R. Bundle, J. Am. Chem. Soc., 2003, 125, 13058–13062 CrossRef CAS.
  50. G. L. Mulvey, P. Marcato, P. I. Kitov, J. Sadowska, D. R. Bundle and G. D. Armstrong, J. Infect. Dis., 2003, 187, 640–649 CrossRef CAS.
  51. Z. S. Zhang, E. A. Merritt, M. Ahn, C. Roach, Z. Hou, C. Verlinde, W. G. J. Hol and E. Fan, J. Am. Chem. Soc., 2002, 124, 12991–12998 CrossRef CAS.
  52. M. B. Pepys, J. Herbert, W. L. Hutchinson, G. A. Tennent, H. J. Lachmann, J. R. Gallimore, L. B. Lovat, T. Bartfai, A. Alanine, C. Hertel, T. Hoffmann, R. Jakob-Roetne, R. D. Norcross, J. A. Kemp, K. Yamamura, M. Suzuki, G. W. Taylor, S. Murray, D. Thompson, A. Purvis, S. Kolstoe, S. P. Wood and P. N. Hawkins, Nature, 2002, 417, 254–259 CrossRef CAS.
  53. J. Y. Liu, Z. S. Zhang, X. J. Tan, W. G. J. Hol, C. Verlinde and E. K. Fan, J. Am. Chem. Soc., 2005, 127, 2044–2045 CrossRef CAS.
  54. J. G. S. Ho, P. I. Kitov, E. Paszkiewicz, J. Sadowska, D. R. Bundle and K. K.-S. Ng, J. Biol. Chem., 2005, 280, 31999–32008 CrossRef CAS.
  55. P. I. Kitov, T. Lipinski, E. Paszkiewicz, D. Solomon, J. M. Sadowska, G. A. Grant, G. L. Mulvey, E. N. Kitova, J. S. Klassen, G. D. Armstrong and D. R. Bundle, Angew. Chem., Int. Ed., 2008, 47, 672–676 CrossRef CAS.
  56. D. Solomon, P. I. Kitov, E. Paszkiewicz, G. A. Grant, J. M. Sadowska and D. R. Bundle, Org. Lett., 2005, 7, 4369–4372 CrossRef CAS.
  57. P. I. Kitov, G. L. Mulvey, T. P. Griener, T. Lipinski, D. Solomon, E. Paszkiewicz, J. M. Jacobson, J. M. Sadowska, M. Suzuki, K. I. Yamamura, G. D. Armstrong and D. R. Bundle, Proc. Natl. Acad. Sci. U. S. A., 2008, 105, 16837–16842 CrossRef CAS.
  58. F. Sansone, G. Rispoli, A. Casnati and R. Ungaro, in Synthesis and Biological Applications of Multivalent Glycoconjugates, ed. O. Renaudet and N. Spinelli, Bentham Science Publishers, 2011, pp. 36–63 Search PubMed.
  59. M. Marradi, F. Chiodo, I. Garcia and S. Penades, in Synthesis and Biological Applications of Multivalent Glycoconjugates, ed. O. Renaudet and N. Spinelli, Bentham Science Publishers, 2011, pp. 164–202 Search PubMed.

Footnote

Part of the multivalent scaffolds in glycosciences themed issue.

This journal is © The Royal Society of Chemistry 2013
Click here to see how this site uses Cookies. View our privacy policy here.