DOI:
10.1039/C0PY00150C
(Paper)
Polym. Chem., 2010,
1, 1459-1466
Hydrolysable polylactide–polyphosphazene block copolymers for biomedical applications: synthesis, characterization, and composites with poly(lactic-co-glycolic acid)
Received
11th May 2010
, Accepted 8th June 2010
First published on
10th August 2010
Introduction
Poly(amino acid ester phosphazenes) combined with poly(lactic-co-glycolic acid) (PLGA) in the form of composites have been utilized as osteoconductive biomaterials for hard tissue engineering scaffolds.1–3 However, some polyphosphazenes, specifically those that contain alanine ethyl ester, valine ethyl ester, and phenylalanine ethyl ester side groups, caused phase-separation of the composites. This led to a reduction in mechanical stability due to an inability to transfer stress across phase domains.4 Many examples are known where block copolymers have been used to compatibilize phase-separated polymer composites by concentration at the domain interface, a process which helps to improve inter-domain adhesion.5–10 Increased phase adhesion allows transfer of a mechanical load from one phase to the other in composite materials.
Polyphosphazene block copolymers can be synthesized via a living cationic polymerization11 to yield polymers with well-defined molecular weights.12 Separate synthetic routes have been developed, with both routes starting with an amine-terminated organic polymer. In the work described here, a phosphoranamine-terminated organic polymer was used to terminate a preformed living poly(dichlorophosphazene) chain. Alternatively, a trifluoroethoxy-substituted phosphoranamine monomer was linked to the organic polymer via its amino terminus, and a polyphosphazene chain was then grown from this site using a chlorophosphoranamine monomer. For both routes, the final poly(dichlorophosphazene) component may then undergo chlorine replacement with organic nucleophiles. Polyphosphazene-block-polyphosphazene copolymers,12–14 polyphosphazene-block-polystyrene copolymers,15–17 poly(methyl methacrylate)-graft-polyphosphazene copolymers,18 and polyphosphazene-block-poly(ethylene oxide) copolymers19–21 have been investigated for their materials properties, as micellar drug delivery systems, and as lithium ion conductors. However, none of these developed block copolymers incorporated hydrolytically sensitive units into either block in ways that would allow these materials to be used in tissue engineering applications. The first reported partially hydrolytically sensitive phosphazene block copolymer was poly(lactic acid) (PLA)-block-poly(bis-trifluoroethoxy phosphazene).22 However, in this macromolecule the phosphazene block contains trifluoroethoxy side groups which imparts resistance to hydrolysis. Therefore, a need existed to develop a block copolymer system that hydrolyzes completely to nontoxic products. Such block copolymers might also be used as interfacial agents to allow formation of compatible blends (alloys) between hitherto immiscible blends of PLAGA with certain poly(amino acid ethyl ester phosphazenes).
The synthesis of poly(amino acid ester phosphazenes)-block-poly(lactic acid) (PLA-block-PPhos) polymers had not been attempted previously due to the inherent acidic degradation that can occur during the introduction of amino acid side groups into polyphosphazenes. The procedure required to synthesize a block copolymer first requires PLA to be linked to poly(dichlorophosphazene). This is then followed by replacement of the chlorine atoms in the poly(dichlorophosphazene) block by the amino acid esters. The acidic media (HCl) generated during introduction of amino acid esters can cause premature decomposition of the phosphazene block or may cause cleavage at the phosphazene to PLA linkage.
In this work, we have synthesized and characterized the first completely degradable phosphazene–PLA block copolymers (Scheme 3). Amine terminated poly(lactic acid) was synthesized via the ring-opening polymerization of the L-lactide. The amine terminated PLA was then end capped with a bromophosphoranamine that was subsequently utilized as the termination species for a preformed living poly(dichlorophosphazene) chain. Macromolecular substitution was then carried out on the phosphazene block in order to replace the chlorine atoms with alanine ethyl ester, valine ethyl ester, or phenylalanine ethyl ester. The PLA-block-PPhos species were then used as blend compatibilizers between poly(amino ethyl ester phosphazenes), in which the amino ethyl esters were alanine ethyl ester, valine ethyl ester, and phenylalanine ethyl ester, and PLGA (50
:
50 or 85
:
15) systems that had previously been found to be incompatible. The blended systems were studied by differential scanning calorimetry (DSC) and scanning electron microscopy (SEM) to determine the extent of miscibility. As a model for the biological response, the hydrolysis media generated from the composite materials were analyzed for percent mass loss and pH.
Experimental
Materials
Lithium bis(trimethylsilyl)amide, sodium hydride (60%, dispersed in mineral oil), phosphorus trichloride, and sulfuryl chloride were obtained from Aldrich and were used without further purification. Phosphorus pentachloride (Aldrich) was purified by sublimation under vacuum before use. The compounds, Cl3P
NSiMe3, (C2H5O)3P
NSiMe3, and (CF3CH2O)2BrP
NSiMe3 were synthesized and purified by literature procedures.17,21,23,24L-Lactide (Frinton Lab.) was used as received. Alanine ethyl ester hydrochloride, valine ethyl ester hydrochloride, and phenylalanine ethyl ester hydrochloride were purchased from Bachem and used without further purification. PLGA (50
:
50) (weight-average molecular weight 2
000
000) and PLGA (85
:
15) (weight-average molecular weight 4
800
000) were gifts from the Ethicon Division of Johnson and Johnson and were used without further purification. The initiator for the L-lactide polymerization was synthesized according to the method of Gotsche and was used immediately.25 Tetrahydrofuran (THF), n-hexane, methylene chloride, toluene, and triethylamine were dried using solvent purification columns.26 Anhydrous trifluoroacetic acid (Aldrich) was used as received. All glassware was dried overnight in an oven at 125 °C, or flame dried under vacuum before use. Reactions were carried out using standard Schlenk techniques or in an inert atmosphere glove box (Vacuum Atmospheres or MBraun) under an atmosphere of dry argon or nitrogen.
Equipment
1H and 31P NMR spectra were obtained using a Bruker AMX-360 NMR spectrometer, operated at 360 and 146 MHz respectively. 1H NMR spectra were referenced to tetramethylsilane signals while 31P NMR chemical shifts are relative to 85% phosphoric acid as an external reference. Molecular weight distribution data were estimated using a Hewlett-Packard HP 1090 gel permeation chromatograph equipped with an HP-1047A refractive index detector, Phenomenex Phenogel 10 µm mixed MXL and linear (2) analytical columns, and calibrated against polystyrene standards (Polysciences). The samples were eluted at 40 °C with a 10 mM solution of tetra-n-butylammonium nitrate (Aldrich) in THF (OmniSolv). Glass transition temperatures were measured with a TA Instruments Q10 differential scanning calorimetry (DSC) apparatus with a heating rate of 10 °C min−1 and a sample size of ca. 10 mg. Scanning electron microscopy (SEM) images were obtained using a Philips FEI Quanta 200 Environmental Scanning Electron Microscope. The images were obtained under the following conditions: 20 KeV source voltage, pressure approx. 0.88 Torr, and a working distance of approx. 10 mm. pH values were measured using a VWR Symphony SB70P pH meter.
Polylactide was obtained by the ring-opening polymerization of L-lactide initiated by zinc tert-butoxycarbonylaminopropoxide.25L-Lactide (14.21 g, 100 mmol) in toluene (140 mL) was cannula transferred to the initiator (2 mmol) at 80 °C. The solution was stirred at 80 °C for 1 h, and acetic acid (6.0 mL) was added to terminate the polymerization. The solvent was evaporated, and the polymer was dissolved in methylene chloride and was precipitated into 2 L of methanol. The precipitated polymer was filtered and washed with methanol. A white solid was obtained (87% yield).
Deprotection of Boc-amino-polylactide (PLA-NHBoc)
A large excess of anhydrous trifluoroacetic acid (14 mL) was added to a solution of BocNH-polylactide (12 g) in methylene chloride (150 mL). The solution was stirred at ambient temperature (25 °C) for 3 h, washed with aqueous NaHCO3 (5%), followed by a wash with water, and finally dried over anhydrous MgSO4. After filtration and evaporation of the solvent, the polymer was recovered (78% yield).
Polylactide functionalization with Br(CF3CH2O)2P
NSiMe31
Amino polylactide (0.75 g, 0.1 mmol of end groups) was dissolved in THF (30 mL). Triethylamine (0.011 mg, 0.11 mmol) was added to this solution, followed by Br(CF3CH2O)2P
NSiMe3 (0.044 g, 0.11 mmol). The reaction mixture was stirred at room temperature for 24 h. The solvent was removed under vacuum and the solid product was used without further purification.
Synthesis of polylactide–alanine polyphosphazene block copolymer (PLA–Ala) 4
(C2H5O)3P
NSiMe3P
NSiMe3 (0.028 g, 0.11 mmol) was added to a stirred solution of PCl5 (0.046 g, 0.22 mmol) in methylene chloride (30 mL) and the reagents were allowed to react for 2 h. The monomer, Cl3P
NSiMe3 (2.54 g, 11.33 mmol), was added to this reaction solution which was stirred for 4 hours at room temperature. A solution of polymer 1 in methylene chloride (25 mL) was added and stirred for 24 hours to terminate the reaction. The methylene chloride was then removed under vacuum and the residual polymer was re-dissolved in THF. In a separate reaction vessel, alanine ethyl ester was prepared by treatment of alanine ethyl ester hydrochloride (5.22 g, 33.99 mol) with triethylamine (6.88 g, 67.98 mol) in refluxing THF (100 mL). The solution was stirred for 24 h, filtered, and then added to a stirred solution of polylactide–poly(dichlorophosphazene) block copolymer solution. The reaction mixture was stirred at reflux for 24 h followed by removal of the solvent. The crude copolymer was purified by dialysis against methanol using 6000–8000 MWCO tubing for four days. A light yellow solid was obtained (46% yield). δH (360 MHz, CDCl3) 1.19 (3H, br, P-NH-CH(CH3)-COO-CH2CH3), 1.32 (3H, br, P-NH-CH(CH3)-COO-CH2CH3), 1.51 (3H, d, -CO-CH(CH3)-O-), 4.08 (3H, br, P-NH-CH(CH3)-COO-CH2CH3), 5.10 (1H, q, -CO-CH(CH3)-O-). δP (146 MHz, CDCl3) −1.96 (br s).
Synthesis of polylactide–valine polyphosphazene block copolymer (PLA–Val) 5
The same synthetic procedure used for polymer 4 was employed with valine ethyl ester hydrochloride to give polymer 5 (38% yield). δH (360 MHz, CDCl3) 0.88 (6H, br, P-NH-CH(CH(CH3)CH3)-COO-CH2CH3), 1.19 (3H, br, P-NH-CH(CH(CH3)CH3)-COO-CH2CH3, 1.51 (3H, d, -CO-CH(CH3)-O-), 1.98 (1H, br, P-NH-CH(CH(CH3)CH3)-COO-CH2CH3), 3.57 (1H, br, P-NH-CH(CH(CH3)CH3)-COO-CH2CH3), 4.11 (2H, br, P-NH-CH(CH(CH3)CH3)-COO-CH2CH3), 5.10 (1H, q, -CO-CH(CH3)-O-). δP (146 MHz, CDCl3) 0.20 (brs).
Synthesis of polylactide–phenylalanine polyphosphazene block copolymer (PLA–PheAla) 6
The same synthetic procedure employed for polymer 4 was used with phenylalanine ethyl ester hydrochloride to give polymer 6 (36% yield). δH (360 MHz, CDCl3) 0.94 (3H, br, P-NH-CH(CH2-Ar)-COO-CH2CH3), 1.51 (3H, d, -CO-CH(CH3)-O-), 2.92 (2H, br, P-NH-CH(CH2-Ar)-COO-CH2CH3), 3.87 (3H, br, P-NH-CH(CH2-Ar)-COO-CH2CH3), 5.10 (1H, q, -CO-CH(CH3)-O-), 7.08 (5H, br, P-NH-CH(CH2-Ar)-COO-CH2CH3). δP (146 MHz, CDCl3) −2.22 (brs).
Synthesis of polymers 7–9
The synthesis of polymers 7–9 was completed using a previously published technique.27 Polymer 7 is described as an example. Poly(dichlorophosphazene) (5.00 g, 43.1 mmol) was dissolved in THF (500 mL). Alanine ethyl ester hydrochloride (26.4 g, 17.2 mmol) and triethylamine (60.1 mL, 431 mmol) were suspended in THF (300 mL). This suspension was refluxed for 24 hours, filtered, and then added to the polymer solution. The polymer solution was stirred for 24 hours at room temperature, followed by another 24 hours under reflux. The polymer solution was concentrated, dialyzed against methanol for 3 days in 12–14
000 MWCO dialysis tubing, and dried under reduced pressure for 1 week (75–82% yields). The molecular weights range from 350
000 to 425
000 g mol−1. The glass transition temperatures for 7, 8, and 9 were −16 °C, 21 °C, and 44 °C respectively.
Fabrication of polymer blends via solution casting
Blends were prepared using a mutual solvent approach.28 Equal masses (0.1 g) of polymers 7, 8, or 9 were co-dissolved with PLAGA (50
:
50) or PLAGA(85
:
15) in chloroform (2 mL). PLA-block-PPhos (0.1 g) was dissolved in chloroform (1 mL). The specific block copolymer added to the polymer mixture was determined by matching the amino acid ester side groups in the copolymer with its counterpart in the single substituent polyphosphazene. For example, if polymer 7 was blended with PLAGA, then block co-polymer 4 was used as the compatibilizer. The corresponding block co-polymers 4–6 were added to the respective blends. The combined solution was stirred for 1 hour and then allowed to stand undisturbed for one hour to confirm that solution-phase miscibility existed. The solutions were then cast into trays lined with Bytac®, air dried for 24 hours, and then vacuum dried for one week. Each polymer blend was analyzed by DSC and SEM techniques. After confirmation of blend miscibility, the amount of PLA-block-PPhos added to the mixture of 7, 8, or 9 with PLAGA was progressively reduced until blend compatibility was no longer detected in the DSC spectrum.
The blended polymers were cut into squares (10 mm × 10 mm) and placed in aqueous media at 37 °C in a shaker bath. Three samples were removed from each medium after 1, 2, 3, 4, 5, and 6 weeks to measure the pH of the hydrolysis media and to determine the percent mass loss.
Results and discussion
Synthesis of amine-functionalized poly(L-lactide)
Amine-functionalized poly(L-lactide) was synthesized according to Höcker's method25 through ring opening polymerization of L-lactide via a zinc alkoxide (Scheme 1) containing a protected amine group. The zinc initiator was synthesized from diethylzinc and Boc-aminoethanol and was used immediately after the synthesis. Addition of the initiator to an L-lactide solution produced Boc-protected PLA. The molecular weight of the polymer was determined by comparing the molecular weight obtained by GPC with the molecular weight determined from 1H NMR spectroscopy. 1H NMR spectroscopy analysis was accomplished from the ratio of the end group signals (a, c, or d) to the signals from lactide units (f or g) (Fig. 1) to determine molecular weights. In all cases, the actual number of repeat units (103 r.u.) was in close agreement with the target number of units (100 r.u.).
Deprotection of the Boc group to generate the amino functional unit was completed by reaction of Boc-PLA with trifluoroacetic acid (TFA). This reaction (Scheme 2) deprotected the primary amino unit at the end of the polymer chain without lowering the molecular weight of the polymer. This was confirmed by the GPC chromatogram and by 1H NMR spectroscopy. The signal corresponding to the Boc group at 1.4 ppm disappeared, and that from the –CH2–N unit shifted from 3.15 to 2.78 ppm. It might be anticipated that the loss of the Boc group should lead to a decrease in the molar mass of the corresponding polymer. However, the modification of the end group has little effect on the overall molecular weight of the polymer.
 |
| | Scheme 2 Synthesis of amino-polylactide. | |
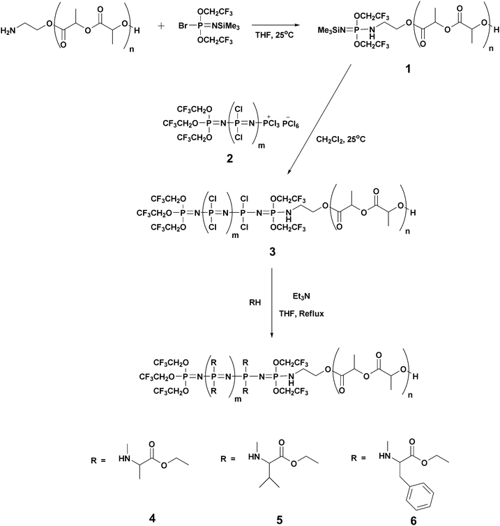
Polylactide–polyphosphazene (PLA–PPhos) block copolymers were synthesized via the controlled cationic polymerization of Cl3P
NSiMe3 at ambient temperature using polylactide–phosphoranimine as a macroterminator (Scheme 3). The amino-functionalized polylactide was treated with Br(CF3CH2O)2P
NSiMe3 to yield the polylactide–phosphoranimine 1, which served as the macromolecular terminator for the controlled cationic polymerization of Cl3P
NSiMe3. The addition of 1 to solutions of [(CF3CH2O)3P
N–(Cl2P
N)m–PCl3]+[PCl6]− (2), yielded polylactide–poly(dichlorophosphazene) block copolymers (3) with a controlled phosphazene block length.4
The macromolecular substitution reactions of poly(dichlorophosphazenes) were performed with three different amino acid esters in the presence of triethylamine as a hydrochloride acceptor. The molar composition ratios of the repeating units of polylactide (PLA) to polyphosphazene (PPhos) in 4, 5, and 6 were 1.0 to 0.36, 1.0 to 0.26, and 1.0 to 0.36 respectively. The molar ratios between the PLA and PPhos block showed, by 1H NMR spectroscopy, a lower PPhos block ratio compared to the feed ratio. This is due to the degradation of phosphazene block by hydrogen chloride generated during the macromolecular substitution reactions. The molecular weights were estimated by comparing the 1H NMR spectroscopy peak integration ratio of the polyphosphazene –CH3 protons (1.0–1.3 ppm) to the –CH– protons (5.1 ppm) of polylactide (Fig. 2). Gel permeation chromatography was used to estimate average molecular weights and polydispersity values. These molecular weights were compared to the values calculated using 1H NMR spectroscopy (Table 1).
| Block copolymera |
Yield |
M
n (1H NMR) |
Block ratio (PLA : PPhos)b |
M
n (Mw/Mn)c |
T
g (CMTd) |
| Feed |
Found |
|
All the samples were prepared by using PLA with Mn of ∼7500 by 1H NMR (103 lactic acid repeating units).
Calculated from 1H NMR by comparing –CH– protons (5.1 ppm) on PLA block to –CH3 protons (1.0–1.3 ppm) on PPhos block.
Measured by GPC.
CMT = crystalline melting transition.
|
| PLA–Ala (4) |
46% |
17 700 |
1.0 : 1.0 |
1.0 : 0.36 |
12 300 (1.12) |
36 °C (156 °C) |
| PLA–Val (5) |
38% |
15 700 |
1.0 : 1.0 |
1.0 : 0.26 |
14 800 (1.17) |
35 °C (156 °C) |
| PLA–PheAla (6) |
36% |
22 500 |
1.0 : 1.0 |
1.0 : 0.36 |
16 000 (1.18) |
35 °C (152 °C) |
Blend compatibility effect of block co-polymers 4–6 on poly(lactide-co-glycolide) (PLAGA)/poly(amino acid ester phosphazene) composites
Equal masses of polymers 7, 8, or 9 (Fig. 3) and PLAGA (50
:
50) or PLAGA (85
:
15) were individually dissolved in chloroform and then mixed together. Corresponding block co-polymers 4–6 were then added to the respective mixtures. Initially, high loadings (0.1
:
0.1
:
0.1) of block co-polymers were used to ensure blend miscibility between the previously incompatible blends.29,30 The amount of block co-polymer was sequentially reduced by 0.05 g after confirmation of micro-scale blend miscibility by DSC and SEM techniques for each blend ratio. The procedure was repeated until immiscible systems were produced. Miscible blends were recognized by a single glass transition temperature detected for the blended matrix.
 |
| | Fig. 3 Chemical structures of poly(amino acid ester phosphazenes) 7–9. | |
DSC results indicated that 5 wt% of block co-polymer 4 produced miscible alloys when added to the corresponding polyphosphazene 7 blended with PLGA (50
:
50) or PLGA (85
:
15) and were characterized by glass transition temperatures of 33 °C and 49 °C respectively. Alternatively, 5 wt% of block co-polymer 5 also produced miscible systems when composite materials were fabricated with 8 and PLGA (50
:
50) or PLGA (85
:
15) and were characterized by glass transition temperatures of 24 °C and 31 °C respectively. DSC curves for miscible blend from composites of 5, 8, and PLGA (85
:
15) are shown in Fig. 4(a). A reduction of 4 or 5 to 2.5 wt% resulted in the formation of immiscible blends. An example of this is shown in Fig. 4(a) where the 2.5 wt% of 5 produced immiscible mixtures with two glass transitions from the parent polymers at 31 °C and 38 °C. Scanning electron microscope (SEM) images of blends fabricated from 8 and PLGA (50
:
50) (not shown) or PLGA (85
:
15) (shown) with 5 wt% of 5 show a smooth surface with no phase separation, Fig. 5(a). However, phase separation is visible when 2.5 wt% of 5 was used as the compatibilizer as shown in Fig. 5(b). Similar results were observed when 4 was used to compatibilize blends fabricated with PLGA (85
:
15) and PLGA (50
:
50).
 |
| | Fig. 4 DSC traces of polymer blends composed of (a) 5 wt% or 2.5 wt% of 5 with 8 and PLAGA (85 : 15) and (b) 5 wt% or 2.5 wt% of 6 with 9 and PLAGA (85 : 15). | |
 |
| | Fig. 5 SEM images of PLGA (85 : 15) with (a) 5 wt% of 5 with 8, (b) 2.5 wt% of 5 with 8, (c) 7.5 wt% 6 with 9, and (d) 5 wt% 6 with 9. | |
Composites of 9 and PLGA (50
:
50) or PLGA (85
:
15) required higher percentages of block copolymer 6 to maintain compatibility probably due to the increased steric hindrance of the phenyl containing side group. The addition of 7.5 wt% of 6 was needed to achieve miscibility from PLGA (50
:
50) or PLGA (85
:
15) and these resulted in glass transitions of 28 °C and 29 °C respectively. The transitions for 6, 9, PLGA (85
:
15) and the miscible blend with 7.5 wt% of 6 are shown in Fig. 4(b). Fig. 4(b) also indicates an immiscible blend when 5 wt% of 6 was used. The DSC results for the 7.5 wt% blend and the 5 wt% blend are confirmed by the lack of or confirmation of phase separation in the SEM images shown in Fig. 5(c) and (d). Similar DSC and SEM image results were observed for PLGA (50
:
50).
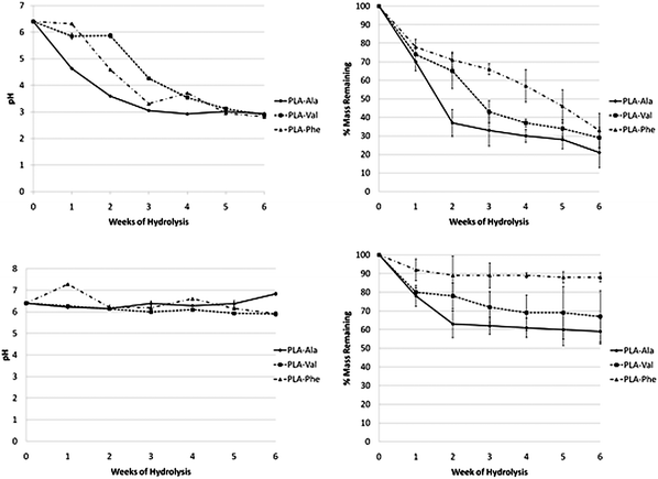
Hydrolysis of the single phase systems
Hydrolytic degradation of the miscible blends was studied. The solid samples were hydrolyzed over a period of 6 weeks, with the pH and mass loss monitored at each time point. Hydrolysis of the compatibilized samples with PLAGA (50
:
50) resulted in pH values of 3, while 20% to 35% of the original mass remained, as shown in Fig. 6. These low pH values are a direct result of the hydrolysis of PLAGA (50
:
50), which was also evident by the low molecular mass of the remaining material. On the other hand, the compatibilized systems that incorporated PLAGA (85
:
15) had pH values that were near neutral with only 10% to 30% mass loss. The slower hydrolysis is attributed to the higher amount of lactic acid in PLAGA (85
:
15). The degradation of PLAGA (50
:
50) and PLAGA (85
:
15) is affected by the poly(amino acid ester phosphazene) that was used in the blends. The rate of hydrolysis decreased with increases in the steric hindrance of the amino acid ester linkage to the polyphosphazene backbone. This resulted in reduced mass loss and higher resultant pH values. The rate of hydrolysis followed the trend of alanine ethyl ester > valine ethyl ester > phenylalanine ethyl ester. Thus, blends between 7 and PLGA were characterized by greater mass loss and lower pHs when compared to blends between 9 and PLGA.
Conclusions
The synthesis of poly[(lactic acid)-co-poly(bis-alanine ethyl ester phosphazene)], poly[(lactic acid)-co-poly(bis-valine ethyl ester phosphazene)], and poly[(lactic acid)-co-poly(bis-phenylalanine ethyl ester phosphazene)] has been completed using a living cationic polymerization route. This is the first reported synthesis of completely hydrolysable polyphosphazene block co-polymers. The addition of 5 wt% to 7.5 wt% of these block co-polymers to mixtures of the corresponding poly (amino acid ester phosphazenes) with PLAGA (50
:
50) or PLAGA (85
:
15), produced completely miscible blends. Thus, the block copolymers induced the formation of miscible blends from hitherto immiscible systems. The compatibilized blends ensure that mechanical stability is retained within fabricated composites. This is especially important for load-bearing applications like hard tissue engineering scaffolds.
Acknowledgements
This work was supported by NIH RO1 EB004051.
References
- L. S. Nair, S. Bhattacharyya, J. D. Bender, Y. E. Greish, P. W. Brown, H. R. Allcock and C. T. Laurencin, Biomacromolecules, 2004, 5, 2212 CrossRef CAS
.
- S. Bhattacharyya, S. G. Kumbar, Y. M. Khan, L. S. Nair, A. Singh, N. R. Krogman, P. W. Brown, H. R. Allcock and C. T. Laurencin, J. Biomed. Nanotechnol., 2009, 5, 69 Search PubMed
.
- M. Deng, L. S. Nair, S. P. Nukavarapu, S. G. Kumbar, J. L. Brown, N. R. Krogman, A. L. Weikel, H. R. Allcock and C. T. Laurencin, J. Biomed. Mater. Res., Part A, 2010, 92, 114 CrossRef
.
- D. Sudhin and L. J. David, Macromolecules, 1993, 26, 2064 CrossRef
.
- M. W. Matsen and M. Schick, Macromolecules, 1994, 27, 2316 CrossRef CAS
.
- J. Washiyama, E. J. Kramer, C. F. Creton and C. Y. Hui, Macromolecules, 1994, 27, 2019 CrossRef CAS
.
- H. R. Brown, V. R. Deline and P. F. Green, Nature, 1989, 341, 221 CrossRef CAS
.
- S. Datta and D. J. Lohse, Macromolecules, 1993, 26, 2064 CrossRef
.
- G. Ragosta, M. Bombace, E. Martuscelli, P. Musto, P. Russo and G. Scarinzi, J. Mater. Sci., 1999, 34, 1037 CrossRef CAS
.
- D. M. Otterson and B. H. Kim, J. Mater. Sci., 1991, 26, 1478 CrossRef CAS
.
- C. H. Honeyman and I. Manners, J. Am. Chem. Soc., 1995, 117, 7035 CrossRef CAS
.
- Y. Chang, S. C. Lee, K. T. Kim, C. Kim, S. D. Reeves and H. R. Allcock, Macromolecules, 2001, 34, 269 CrossRef CAS
.
- M. L. White and K. Matyjaszewski, Macromol. Chem. Phys., 1997, 198, 665 CAS
.
- H. R. Allcock, S. D. Reeves, J. M. Nelson, C. A. Crane and I. Manners, Macromolecules, 1997, 30, 2213 CrossRef CAS
.
- Y. Chang, E. S. Powell and H. R. Allcock, J. Polym. Sci., Part A: Polym. Chem., 2005, 43, 2912 CrossRef CAS
.
- H. R. Allcock, E. S. Powell and Y. Chang, Macromolecules, 2004, 37, 7163 CrossRef CAS
.
- R. Prange, S. D. Reeves and H. R. Allcock, Macromolecules, 2000, 33, 5763 CrossRef CAS
.
- H. R. Allcock, E. S. Powell, A. E. Maher and E. B. Berda, Macromolecules, 2004, 37, 5824 CrossRef CAS
.
- Y. Chang, R. Prange and H. R. Allcock, Macromolecules, 2002, 35, 8556 CrossRef CAS
.
- H. R. Allcock, R. Prange and T. J. Hartle, Macromolecules, 2001, 34, 5463 CrossRef CAS
.
- J. M. Nelson, A. P. Primrose, T. J. Hartle, H. R. Allcock and I. Manners, Macromolecules, 1998, 31, 947 CrossRef CAS
.
- N. R. Krogman, L. Steely, M. D. Hindenlang, L. S. Nair, C. T. Laurencin and H. R. Allcock, Macromolecules, 2008, 41, 1126 CrossRef CAS
.
- B. Wang, E. Rivard and I. Manners, Inorg. Chem., 2002, 41, 1690 CrossRef CAS
.
- H. R. Allcock, S. D. Reeves, C. R. de Denus and C. A. Crane, Macromolecules, 2001, 34, 748 CrossRef CAS
.
- M. Gotsche, H. Keul and H. Höcker, Macromol. Chem. Phys., 1995, 196, 3891 CrossRef CAS
.
- A. B. Pangborn, M. A. Giardello, R. H. Grubbs, R. K. Rosen and F. J. Timmers, Organometallics, 1996, 15, 1587
.
- S. R. Pucher, A. G. Scopelianos and H. R. Allcock, Macromolecules, 1994, 27, 1071 CrossRef CAS
.
- M. Deng, L. S. Nair, S. P. Nukavarapu, S. G. Kumbar, J. L. Brown and N. R. Krogman, et al., J. Biomed. Mater. Res., Part A, 2010, 92A, 114–125 CrossRef CAS
.
- M. Deng, L. S. Nair, S. P. Nukavarapu, S. G. Kumbar, T. Jiang, N. R. Krogman, A. Singh, H. R. Allcock and C. T. Laurencin, Biomaterials, 2008, 29, 337 CrossRef CAS
.
- N. R. Krogman, A. L. Weikel, N. Q. Nguyen, K. A. Kristhart, S. P. Nukavarapu, L. S. Nair, C. T. Laurencin and H. R. Allcock, J. Appl. Polym. Sci., 2010, 115, 431 CrossRef CAS
.
|
| This journal is © The Royal Society of Chemistry 2010 |
Click here to see how this site uses Cookies. View our privacy policy here.