A new multifunctional one-dimensional bromo-bismuthate(iii): synthesis, structural features, characterization, and optical properties of (C10H13N4)[BiBr4]·2H2O
Abstract
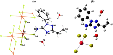
A new one-dimensional bromobismuthate(III) organic–inorganic hybrid (C10H13N4)[BiBr4]·2H2O, was successfully synthesized and comprehensively investigated to elucidate its structural, thermal, and optoelectronic characteristics. Single-crystal X-ray diffraction established a monoclinic system (P21/n) with one-dimensional [BiBr4]nn− chains composed of edge-sharing BiBr6 octahedra, stabilized through an extended network of hydrogen bonding and π–π stacking interactions. Vibrational spectroscopy (FTIR and Raman) confirmed the coexistence and coupling of organic–inorganic subunits, while thermogravimetric analysis demonstrated excellent stability up to 275 °C, underscoring its robustness for high-temperature applications. Optical studies combining UV-vis, diffuse reflectance spectroscopy (DRS), and steady-state photoluminescence (PL) revealed a broad emission centered near 400 nm and an indirect band gap (Eg = 2.57 eV), as supported by TD-DFT calculations. These results confirm the compound's semiconducting behavior governed by the strong spin–orbit coupling of Bi(III), which induces band splitting and phonon-assisted transitions. The CIE 1976 chromaticity analysis located the emission within the blue–violet region (u′ = 0.1725, v′ = 0.2513), indicating high color purity and strong luminescence. This integrated experimental–theoretical approach demonstrates that (C10H13N4)[BiBr4]·2H2O is a stable, wide-band-gap, indirect semiconductor with promising potential for blue-emitting optoelectronic, photonic, and photovoltaic applications.

Please wait while we load your content...