Unconventional magnetism and residual entropy in La7Os3O18
Abstract
In this communication we describe the crystal structure and unusual magnetic properties of La7Os3O18, a new layered osmate with structurally discrete (non-corner-sharing) octahedra containing Os5+ with
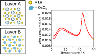
and strong spin–orbit coupling. Investigations through powder X-ray diffraction, magnetometry and heat capacity measurements demonstrate that the material undergoes an antiferromagnetic ordering transition at TN = 43 ± 1 K, with a further broad overturn in susceptibility at T ≈ 14 K indicating low dimensional short range magnetic ordering. Curie–Weiss fits give an effective moment of µeff = 3.26µB per Os5+ and Weiss constant of θW ≈ −92 K. Heat capacity data reveal that it is the low temperature feature with which the majority of the magnetic entropy is associated. However, between our lowest temperature of 2 K and well above TN we find only approximately half of the expected magnetic entropy to be released. Magnetisation versus field measurements at low temperature reveal a hysteretic metamagnetic transition above 5 T, further indicating that the magnetism below TN is non-trivial in nature.
- This article is part of the themed collection: 2026 Pioneering Investigator Collection

Please wait while we load your content...