Triazine-ring protonation enables synergistic enhancement of proton conduction and membrane stability
Abstract
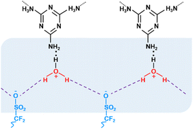
The power conversion efficiency of proton exchange membrane fuel cells (PEMFCs) is directly determined by proton-conduction-attributed current across conventional perfluorosulfonic acid (PFSA) membranes. Incorporation of fillers is frequently proposed to increase the in-membrane active sites and proton conduction, but the enhancement typically sacrifices membrane stability due to the phase separation and structural defects introduced by the fillers. Herein, we integrate a high polarity supramolecular complex, specifically melamine trithiocyanuric acid (MT), into PFSA to create a homogeneous composite proton exchange membrane (PEM) using molecular-level hybridization. In the composite PEM, the protonated triazine ring (PTR) of MT forms heterogeneous distribution regions featuring SO3−–H3O+–PTR interfaces with hydrated PFSA. This phenomenon arises from the alkaline property of pyridine-like nitrogen, whose lone-pair electrons do not participate in the conjugated system. These regions not only provide a facile proton transfer pathway with a high mean square displacement (MSD) of 1.63 × 10−8 cm2 s−1, but also enhance proton conduction via the Grotthuss mechanism through moderately strengthened, dynamically stable multiple hydrogen-bond interactions. This composite PEM demonstrates an excellent proton conductivity of 0.249 S cm−1 at 90 °C, and achieves a power density of 1416 mW cm−2 at 70 °C in a hydrogen fuel cell. The 72-hour Fenton degradation test exhibits a mass loss of only 13.8 wt%.
- This article is part of the themed collection: 2025 Chemical Science Covers

Please wait while we load your content...