Amoxicillin antibiotic with potential anticancer and antidiabetic activity: acetaldehyde–amoxicillin Schiff base and its vanadyl complex with DFT and docking investigation
Abstract
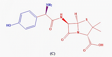
New compounds based on the approved amoxicillin drug were prepared. The new Schiff base ligand (AA) was generated by condensation between the amoxicillin drug and acetaldehyde. The mononuclear VO(II) complex was successfully produced with a molar ratio of 1 : 2 relative to VO : AA, respectively. Spectroscopic and physicochemical techniques such as elemental analysis, UV-Vis, FT-IR, 1H-NMR, mass spectrometry, molar conductance and magnetic susceptibility were used to characterize the synthesized compounds. Various shifts in the band positions in the FT-IR spectrum of the complex suggested coordination of the VO(II) ion through the azomethinic N and carbonyl O-atoms of the AA ligand. They were moreover analyzed by the TGA thermal technique to confirm the thermal stability of the complex. Furthermore, the compound's formation spontaneity was supported by activation parameters calculated from TGA. Quantum chemical features of both AA and its VO(II) chelate were computed. The AA ligand and its vanadyl chelate revealed comparable anticancer activities against the breast carcinoma (MCF-7) cell line with IC50 values of 93.64 ± 0.65 μg mL−1 and 97.31 ± 0.55 μg mL−1. Additionally, the antimigration test anticipated that the [VO(AA)2]SO4 would assist in reducing the metastasis of MCF-7 cells that was suppressed by 46 039 mm over the untreated control at 48 h. The high affinity of the synthesized compounds for DNA binding was explored using electrophoresis with the quantification of the band intensities. The anti-inflammatory effect results indicated that the [VO(AA)2]SO4 had a slightly higher inhibition percentage than the AA ligand in a concentration-dependent manner. The molecular docking represented the active amino acids interacting with the epidermal growth factor receptor tyrosine kinase. Additionally, the antidiabetic efficacy of the produced compounds was assessed using in vitro investigation and molecular docking analyses of α-amylase inhibition. The enzymatic activity of α-amylase progressively diminished with increasing concentrations of the produced AA, VO(II) chelate, and acarbose, achieving maximal inhibitions of 89.9%, 82.8%, and 98.0%, respectively.

Please wait while we load your content...