Anomalous temperature induced transition and convergence of thermal conductivity in germanene monolayer
Abstract
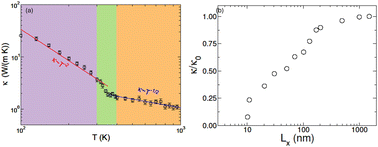
We report an anomalous temperature-induced transition in thermal conductivity in the germanene monolayer around a critical temperature Tc = 350 K. Equilibrium molecular dynamics simulations reveal a transition from κ ∼ T−2 scaling below the Tc to κ ∼ T−1/2 above, contrasting with conventional κ ∼ T−1 behavior. This anomalous scaling correlates with the long-scale characteristic timescale τ2 obtained from double exponential fitting of the heat current autocorrelation function. Phonon mode analysis using normal mode decomposition indicates that a redshift in ZO phonons reduces the acoustic–optical phonon gap, causing an overlap, and enhances the phonon–phonon scattering, driving the anomalous scaling behavior. Moreover, non-equilibrium simulations find a convergent thermal conductivity of germanene with sample size, in agreement with mode coupling theory, owing to the high scattering of ZA phonons due to the inherent buckling of germanene.

Please wait while we load your content...