Spectroscopic and complementary thermodynamic study of liquid, supercooled, and glassy state of ethylene glycol
Abstract
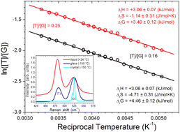
Raman and IR spectroscopy were employed to uncover coalesced/unresolved peaks in the liquid, glassy, and crystalline phases of ethylene glycol (EG) in a temperature range of +24 to −160 °C. The temperature-resolved O–H stretching mode of supercooled EG exhibited continuous changes throughout the studied temperature range, including below the glass transition temperature (Tg = −121 °C). Conversely, the C–H stretching spectrum showed no significant variation within the same temperature range, indicating a complex synchronous change in the C–H⋯O and O–H⋯O bonds. Low-frequency (–200 to +300 cm−1) Raman spectra of glassy and crystalline EG were also reported and compared. The Raman spectrum of the C–C–O bending mode of EG was measured with a high signal-to-noise ratio (SNR > 1000), and the temperature-resolved intensity ratio of the trans/gauche bands was determined. This ratio decreased linearly down to the glass transition temperature, after which it remained constant. The lack of known polarizabilities for these conformers precludes direct thermodynamic determinations. Previous ab initio molecular dynamics simulations indicated room temperature gauche to trans conformer concentrations of 80% and 20%, respectively. Using this result as a benchmark, for the reaction G ⇄ T, the corresponding ΔrG = −RT ln(Keq) was calculated to be +3.44 kJ mol−1. Applying the van’t Hoff equation in processing our temperature-resolved data yielded the following thermodynamic parameters for the same reaction: ΔrH = (+3.06 ± 0.07) kJ mol−1, ΔrS = (–1.14 ± 0.31) J mol−1 K−1, and ΔrG = (+3.40 ± 0.12) kJ mol−1. Another [T]/[G] ratio reported in an experimental NMR study was also used in the thermodynamic calculations; the results obtained were compared to the aforementioned data and discussed.

Please wait while we load your content...