Enhancing thermal transport in TKX-50 energetic materials: the role of graphene orientation and molecular interactions
Abstract
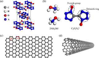
TKX-50 represents a promising energetic material with good thermal stability, performance, and insensitivity. As one of its most important thermophysical properties, the thermal conductivity of TKX-50 plays a critical role in determining its thermal stability. However, measuring the thermal conductivity κ of explosives can be extremely difficult and dangerous. In this study, we employ non-equilibrium molecular dynamics (NEMD) simulations to investigate the heat transfer characteristics of TKX-50 crystals and their composite systems incorporating various thermal conductive fillers (TCFs). Our simulations reveal that pure TKX-50 exhibits a thermal conductivity of approximately 0.5 W/(m·K), comparable to conventional high explosives. Importantly, for composite systems with TCFs, we observed significant interaction variations with graphene depending on the orientation angle between the N-oxide group of TKX-50 and the inserted graphene layer, which may substantially affect the thermal conductivity of the composite system. Notably, we reported exceptionally high thermal conductivity when the graphene layer was aligned perpendicular to both the N-oxide group and the heat flux. These findings are further supported by phonon spectrum analysis and modeled using the series-parallel heat conduction framework. Our study provides a fundamental understanding of thermal transport mechanisms in TKX-50-based systems and offers new insights for designing highly efficient TCFs to improve the thermal management of energetic materials.

Please wait while we load your content...