Dipole–dipole correlations in the nematic phases of symmetric cyanobiphenyl dimers and their binary mixtures with 5CB†
Abstract
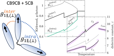
We report on the temperature dependence of birefringence and of the static dielectric permittivity tensor in a series of binary mixtures between the symmetric, bent-shaped, 1′′,9′′-bis(4-cyanobiphenyl-4′-yl)nonane (CB9CB) dimer and the monomeric nematogen 5CB. In the studied composition range the mixtures exhibit two nematic phases with distinct birefringence and dielectric features. Birefringence measurements are used to estimate the temperature dependence of the tilt between the axis defining the nanoscale helical modulation of the low temperature nematic phase with the (local) direction of the maximal alignment of the cyanobiphenyl units. Planar as well as magnetically and/or electrically aligned samples are used to measure the perpendicular and parallel components of the dielectric permittivity in both nematic phases. A self-consistent molecular field theory that takes into account flexibility and symmetry of the constituent mesogens is introduced for the calculation of order parameters and intra-molecular orientational dipolar correlations of the flexible dimers as a function of temperature/concentration. Utilising the tilt angle, as calculated from the birefringence measurements, and the predictions of the molecular theory, dielectric permittivity is modelled in the framework of the anisotropic version of the Kirkwood–Fröhlich theory. Using the inter-molecular Kirkwood correlation factors as adjustable parameters, excellent agreement between theory and permittivity measurements across the whole temperature range and composition of the mixtures is obtained. The importance of the orientational, intra- and inter-molecular, dipolar correlations, their relative impact on the static dielectric properties, as well as their connection with the local structure of the nematic phases of bent-shaped bimesogens, is discussed.

Please wait while we load your content...