Hydrodynamic and geometric effects in the sedimentation of model run-and-tumble microswimmers
Abstract
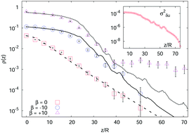
The sedimentation process in an active suspension is the result of the competition between gravity and the autonomous motion of particles. We carry out simulations of run-and-tumble squirmers that move in a fluid medium, focusing on the dependence of the non-equilibrium steady state on the swimming properties. We find that for large enough activity, the density profiles are no longer simple exponentials; we recover the numerical results through the introduction of a local effective temperature, suggesting that the breakdown of the Perrin-like exponential form is a collective effect due to fluid-mediated dynamic correlations among particles. We show that analogous concepts can also fit the case of active non-motile particles, for which we report the first study of this kind. Moreover, we provide evidence of scenarios where the solvent hydrodynamics induces non-local effects which require the full three-dimensional dynamics to be taken into account in order to understand sedimentation in active suspensions. Finally, analyzing the statistics of the orientations of microswimmers, the emergence of a height-dependent polar order in the system is discussed.

Please wait while we load your content...