Recent advances in sustainable production and catalytic transformations of fatty acid methyl esters
Abstract
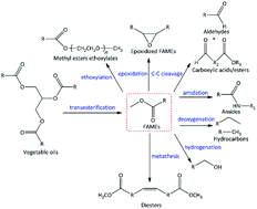
Green chemistry provides a broad range of possibilities for researchers to design products and processes that minimise or eliminate the use and generation of hazardous substances in chemical engineering. The use of renewable feedstocks coupled with catalysis is one of the key principles of green chemistry. In this regard, non-edible vegetable oils and fatty acid methyl esters (biodiesel) produced by the transesterification of vegetable oils have a great potential in the chemical industry. Their catalytic conversion allows them to produce a wide range of useful chemicals. At the same time, the use of fatty acid methyl esters has advantages and they are more preferable as compared to vegetable oils due to fewer impurities, lower viscosity, etc. The production of biodiesel is associated with the formation of another important and versatile chemical, glycerol, which is currently produced in the world only through the transesterification of vegetable oils. This critical review highlights the recent achievements in the green and sustainable production of various chemicals from fatty acid methyl esters, including oxidation, amidation, hydrogenation, deoxygenation, ethoxylation, metathesis, and isomerisation reactions. A special focus is given to the applicability of each method in industry. We suppose that this comprehensive review will provide insight into the most significant ways to convert fatty esters into valuable products since they are “rough diamonds” and have a great future in the chemical industry.

Please wait while we load your content...