Facile gas-phase hydrodeoxygenation of 2,5-dimethylfuran over bifunctional metal-acid catalyst Pt–Cs2.5H0.5PW12O40†
Abstract
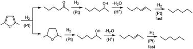
2,5-Dimethylfuran is deoxygenated to n-hexane with 100% yield on a bifunctional Pt/C–Cs2.5H0.5PW12O40 catalyst under very mild conditions (90 °C, 1 bar H2) in a one-step gas-phase process. A proposed mechanism includes a sequence of hydrogenolysis, hydrogenation and dehydration steps occurring on Pt and proton sites of the bifunctional catalyst.

Please wait while we load your content...