Electron–phonon scattering and excitonic effects in T-carbon†
Abstract
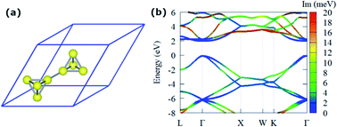
Through first-principles calculations combining many-body perturbation theory, we investigate electron–phonon scattering and optical properties including the excitonic effects of T-carbon. Our results reveal that optical and acoustic phonons dominate the scattering around the valence and the conduction band edges, respectively. In addition, the relaxation lifetimes of holes (0.5 ps) are longer than those of electrons (0.24 ps) around the band edges due to the weaker scattering. We also predict that mean free paths of hot holes are as high as 80 nm while only 15 nm for hot electrons, resulting in different hot carrier extraction ranges in T-carbon. Moreover, we demonstrate that there exist lowest energy dark excitons in T-carbon with radiative lifetime of about 3.4 s, which is revealed to be much longer than that of bright excitons and would lower the photoluminescence quantum yield of T-carbon.

Please wait while we load your content...