In vitro effects of endosulfan-based insecticides on mammalian sperm
Abstract
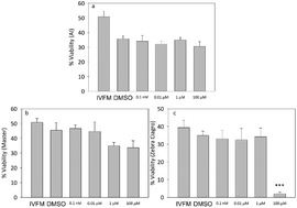
Endosulfan is an organochloride insecticide extensively used in several countries to protect crops from pests. As several studies indicate that endosulfan can affect human and animal development, the aim of this study was to analyse whether sperm parameters and the process of chromatin decondensation could be altered by endosulfan in mice sperm. Spermatozoa from cauda epididymis were obtained from mature male mice and incubated in the presence of two commercial formulations (CFs) of endosulfan (Master® and Zebra Ciagro®) or the active ingredient (AI) alone. A significant decrease in the percentage motility and viability of spermatozoa with respect to controls was found. In vitro decondensation was performed in the presence of glutathione and heparin. Spermatozoa incubated with the AI, endosulfan Master® and endosulfan Zebra Ciagro® showed an increase in chromatin decondensation. In addition, the TUNEL assay showed that DNA fragmentation was significantly higher when sperm were incubated with either one of the CFs when compared to the AI or controls. The ultrastructure analysis of sperm cells showed evident changes in the structure of the plasma and acrosome membranes of sperm incubated with endosulfan AI or the CFs. These results suggest that endosulfan can affect sperm integrity and in vitro chromatin decondensation as well as DNA fragmentation.

Please wait while we load your content...