Unlocked nucleic acid modified primer-based enzymatic polymerization assay: towards allele-specific genotype detection of human platelet antigens†
Abstract
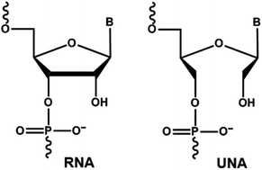
Accurate detection of single nucleotide polymorphisms (SNPs) is paramount for the appropriate therapeutic intervention of debilitating diseases associated with SNPs. However, in some cases current nucleic acid probes fail to detect allele-specific mutations, for example, human platelet antigens, HPA-15a (TCC) and HPA-15b (TAC) alleles associated with neonatal alloimmune thrombocytopenia. Towards this, it is necessary to develop a novel assay for detection of allele-specific mutations. In this study, we investigated the potential of unlocked nucleic acid (UNA)-modified primers in SNP detection utilising an enzymatic polymerisation-based approach. Our results of primer extension and asymmetric polymerase chain reaction by KOD XL DNA polymerase revealed that UNA-modified primers achieved excellent allele-specificity in discriminating the human platelet antigen DNA template, whereas the DNA control primers were not able to differentiate between the normal and mutant alleles, demonstrating the scope of this novel UNA-based enzymatic approach as a robust methodology for efficient detection of allele-specific mismatches. Although further evaluation is required for other disease conditions, we firmly believe that our findings offer a great promise for the diagnosis of neonatal alloimmune thrombocytopenia and other SNP-related diseases.

Please wait while we load your content...