Increased effective mass and carrier concentration responsible for the improved thermoelectric performance of the nominal compound Cu2Ga4Te7 with Sb substitution for Cu†
Abstract
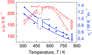
Although the ternary chalcopyrite compound Cu2Ga4Te7 has relatively high thermal conductivity and electrical resistivity, it has a high carrier concentration, thus making it a good thermoelectric candidate. In this work we substitute Sb for Cu in this compound, aiming at engineering both the electrical and thermal properties. Rietveld refinement revealed that the nominal compounds Cu2−xSbxGa4Te7 (x = 0–0.1) crystallize with the crystal structure of CuGaTe2 with the real compositions deviating from those of their nominal ones. Besides, Sb resides in Cu sites, which increases both the effective mass and the Hall carrier concentration. Therefore, the Seebeck coefficient increases at high temperatures, and the lattice thermal conductivity reduces due to increased phonon scattering from point defects and electron–phonon interactions. As a consequence, the thermoelectric (TE) performance improves with the highest TE figure of merit (ZT) of 0.58 at 803 K. This value is about 0.21 higher than that of the pristine Cu2Ga4Te7.

Please wait while we load your content...