Applicability of a linear diffusion model to determination of the height of the potential barrier at the grain boundaries of Fe-doped SrTiO3
Abstract
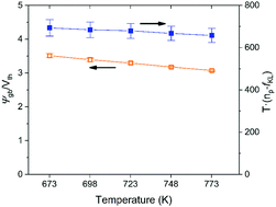
The potential barrier formed at the grain boundaries in Fe-doped SrTiO3 is reported to be one of the main reasons of the exceptionally large grain boundary resistivity of the material. Of particular interest is thus how to accurately quantify the potential barrier height, Ψgb, in such electronic conductors. This study aims to expand the applicability of a linear diffusion model (namely I–V model) to electronic conductors. The I–V model has previously proven its success in accurate determination of Ψgb in popular ionic conductors. By employing 1 mol% Fe-doped SrTiO3 as a model material, the current–voltage characteristics of the grain boundary investigated demonstrate the power law behavior predicted by the I–V model, verifying the applicability of this model. The Ψgb estimated from the I–V model at different temperatures are compared with those from the resistivity ratio of the grain boundary to the bulk. The resistivity ratio has been exclusively used to determine Ψgb in various conductors over several decades and yet has limitations in its accuracy. The Ψgb determined by the I–V model are found to be substantially lower than those from the resistivity ratio; such discrepancy implies that the potential barrier only partially contributes to the high grain boundary resistivity of a lightly doped electron–hole conducting SrTiO3.

Please wait while we load your content...