Structural motifs in salts of sulfathiazole: implications for design of salt forms in pharmaceuticals APIs†
Abstract
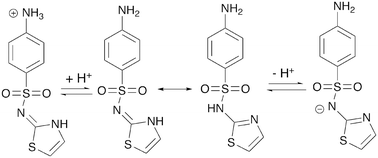
The creation of salts is a frequently used approach for the modification of physicochemical properties of an active pharmaceutical ingredient. Despite the frequency of application, there has been little research into the structural–property relationships of the final material and the nature of the counterion present. This work reports on five new salts of sulfathiazole and compares the energetics of the intermolecular interactions with variation in the crystal packing motifs.

Please wait while we load your content...