Concentration-dependent spectroscopic properties and temperature sensing of YNbO4:Er3+ phosphors
Abstract
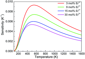
A series of YNbO4:Er3+ phosphors with various Er3+ concentrations was synthesized via a traditional high temperature, solid-state reaction method. XRD Rietveld refinements based on the XRD data were carried out to study the phase purity and crystal structure of the as-prepared samples. The results revealed that single monoclinic phase YNbO4 phosphors were obtained. The influence of the Er3+ concentration on the spectroscopic properties and temperature sensing in YNbO4:Er3+ phosphors were systematically studied. Different quenching concentrations were found in down-conversion and up-conversion luminescence processes. From lasers working current dependent up-conversion luminescence spectra, it was confirmed that two and three photon processes were responsible for both the green and the red up-conversion emissions, respectively, excited by 980 and 1550 nm lasers, which have no apparent dependence on Er3+ ion concentration. However, the Er3+ concentration had significant influences on the temperature sensing sensitivity of Er3+ ions, and the results showed that YNbO4 phosphors doped with low concentrations of Er3+ ions had high temperature sensing sensitivity and could be applied in temperature detection applications, particularly in high temperature environments.

Please wait while we load your content...