Synthesis and catalytic performance in the propene epoxidation of a vanadium catalyst supported on mesoporous silica obtained with the aid of sucrose
Abstract
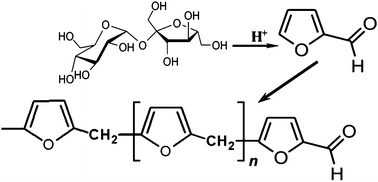
Mesoporous silica was prepared with the use of low-cost and environmentally friendly sucrose as a porogeneous agent. It was found that the presence of sucrose as well as the products of its chemical transformation upon the synthesis procedure (i.e., furfural polymer) affected markedly the structure and morphology of the resulting porous silica. The influences of the sucrose content and the source of the silicon as well as the synthesis conditions (pH, temperature) were very significant. The samples obtained in an acidic medium of the initial mixture formed from TEOS and treated at room temperature gave rise to products with a high surface area and narrow pore size distribution. Despite the lack of pore ordering, their catalytic activity in propene epoxidation after vanadium modification was remarkable in comparison to the activity of the vanadium catalyst supported on ordered mesoporous materials.

Please wait while we load your content...