Passive microrheology in the effective time domain: analyzing time dependent colloidal dispersions†
Abstract
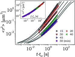
We studied the aging dynamics of an aqueous suspension of LAPONITE®, a model time dependent soft glassy material, using a passive microrheology technique. This system is known to undergo physical aging during which its microstructure evolves progressively to explore lower free energy states. Optical microscopy is used to monitor the motion of micron-sized tracer probes embedded in a sample kept between two glass plates. The mean square displacements (MSD) obtained from the motion of the tracer particles show a systematic change from a purely diffusive behavior at short aging times to a subdiffusive behavior as the material ages. Interestingly, the MSDs at all the aging times as well as different LAPONITE® concentrations superpose remarkably to show a time–aging time master curve when the system is transformed from the real time domain to the effective time domain, which is obtained by rescaling the material clock to account for the age dependent relaxation time. The transformation of the master curve from the effective time domain to the real time domain leads to the prediction of the MSD in real time over a span of 5 decades when the measured data at individual aging times are only over 2 decades. Since the MSD obtained from microrheology is proportional to the creep compliance of a material, by using the Boltzmann superposition principle along with the convolution relation in the effective time domain, we predict the stress relaxation behavior of the system in real time. This work shows that the effective time approach applied to microrheology facilitates the prediction of long time creep and relaxation dynamics of a time dependent soft material by carrying out short time experiments at different aging times.

Please wait while we load your content...