Aerosol-assisted CVD of cadmium diselenoimidodiphosphinate and formation of a new iPr2N2P3+ ion supported by combined DFT and mass spectrometric studies†
Abstract
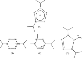
Aerosol-assisted chemical vapour deposition (AACVD) of Cd[(SePiPr2)2N]2 is shown to deposit cadmium selenide and/or cadmium phosphide on glass substrates, depending upon the growth conditions. The phase, structure, morphology and composition of the films were characterised by X-ray powder diffraction (XRD), scanning electron microscopy, energy dispersive X-ray analysis and X-ray photoelectron spectroscopy. The XRD indicated a hexagonal phase for cadmium selenide, whilst cadmium phosphide was monoclinic. Pyrolysis gas chromatography-mass spectrometry and density functional theory were used to deduce a breakdown mechanism for the deposition that favoured the formation of a new aromatic iPr2N2P3+ ion.

Please wait while we load your content...