Issue 4, 2014

Polyketoesters from oleic acid. Synthesis and functionalization

Abstract

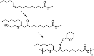
In this study, we exploited the reactivity of the methyl oleate enone derivative for the conversion of this renewable raw material to ketone-containing hydroxyesters. The radical-mediated thiol–ene addition to the conjugated double bonds has been investigated and low yields were obtained due to secondary reactions. The thiol-Michael addition under acidic and basic/nucleophilic conditions was also examined. While using vanadyl triflate (VO(OTf)2), a slight excess of thiol was necessary to complete the reaction, by using both basic/nucleophilic catalysts 1,5-diazabicyclo[4.3.0]non-5-ene (DBN) and 1,8-diazabicyclo[5.4.0]undec-7-ene (DBU), quantitative conversion was achieved under stoichiometric conditions in shorter reaction times. The obtained hydroxyester, carrying sulphide and ketone functional groups, was used to obtain polyesters by Novozyme-435 enzymatic polymerization. The coupling between the ketone group of the repeating unit and a model oxyamine has been used to demonstrate the polyketoester functionalization via oxime formation.

Graphical abstract: Polyketoesters from oleic acid. Synthesis and functionalization

Article information

Article type
Paper
Submitted
09 Jul 2013
Accepted
10 Sep 2013
First published
10 Sep 2013

Green Chem., 2014,16, 1847-1853

Polyketoesters from oleic acid. Synthesis and functionalization

M. Moreno, G. Lligadas, J. C. Ronda, M. Galià and V. Cádiz, Green Chem., 2014, 16, 1847 DOI: 10.1039/C3GC41346B

To request permission to reproduce material from this article, please go to the Copyright Clearance Center request page.

If you are an author contributing to an RSC publication, you do not need to request permission provided correct acknowledgement is given.

If you are the author of this article, you do not need to request permission to reproduce figures and diagrams provided correct acknowledgement is given. If you want to reproduce the whole article in a third-party publication (excluding your thesis/dissertation for which permission is not required) please go to the Copyright Clearance Center request page.

Read more about how to correctly acknowledge RSC content.

Social activity

Spotlight

Advertisements