Issue 5, 2012

An efficient approach to dispacamide A and its derivatives

Abstract

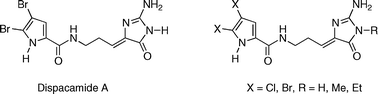
Dispacamide A and new analogs of this marine alkaloid were prepared in seven steps with an overall yield ranging from 12 to 33%. The key step of the strategy was a stereocontrolled Knoevenagel condensation under microwave dielectric heating in the last step. In this condensation, the 2-aminoimidazolin-4-one hydrochloride partners 10a–c were synthesized in three steps with good overall yields (33–79%) via the ring closure of N-guanidino acetic acids 9a–c and the aldehydes 5a,b as the two others building-blocks, in 3 steps with 60–66% overall yields. The six synthetic products have been obtained with a Z geometry about their exocyclic bond on the basis of 13C/1H long-range coupling constants using a gHSQMBC experiment.

Graphical abstract: An efficient approach to dispacamide A and its derivatives

Supplementary files

Article information

Article type
Paper
Submitted
17 Aug 2011
Accepted
06 Oct 2011
First published
06 Oct 2011

Org. Biomol. Chem., 2012,10, 978-987

An efficient approach to dispacamide A and its derivatives

S. Guihéneuf, L. Paquin, F. Carreaux, E. Durieu, L. Meijer and J. P. Bazureau, Org. Biomol. Chem., 2012, 10, 978 DOI: 10.1039/C1OB06161E

To request permission to reproduce material from this article, please go to the Copyright Clearance Center request page.

If you are an author contributing to an RSC publication, you do not need to request permission provided correct acknowledgement is given.

If you are the author of this article, you do not need to request permission to reproduce figures and diagrams provided correct acknowledgement is given. If you want to reproduce the whole article in a third-party publication (excluding your thesis/dissertation for which permission is not required) please go to the Copyright Clearance Center request page.

Read more about how to correctly acknowledge RSC content.

Social activity

Spotlight

Advertisements