Issue 4, 2010

Redesigning the designer drug ecstasy: non-psychoactive MDMA analogues exhibiting Burkitt's lymphoma cytotoxicity

Abstract

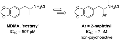
Burkitt's lymphoma (BL) is a particularly aggressive cancer that primarily affects African children. Unfortunately, effective and affordable treatment is out of reach of most of the afflicted. The illicit psychoactive drug methylenedioxymethamphetamine (MDMA, ‘ecstasy’) is cytotoxic to BL cell lines, but its low potency, psychoactivity and neurotoxicity preclude consideration as a therapeutic drug candidate. This paper describes the discovery of novel α-aryl analogues of MDMA that lack psychoactivity and reduce BL cell line viability with significantly more potency than the lead compound. Preliminary in vitro studies also indicate that the compounds are non-toxic to a relevant neuronal cell line.

Graphical abstract: Redesigning the designer drug ecstasy: non-psychoactive MDMA analogues exhibiting Burkitt's lymphoma cytotoxicity

Supplementary files

Article information

Article type
Concise Article
Submitted
12 Jul 2010
Accepted
30 Jul 2010
First published
07 Sep 2010

Med. Chem. Commun., 2010,1, 287-293

Redesigning the designer drug ecstasy: non-psychoactive MDMA analogues exhibiting Burkitt's lymphoma cytotoxicity

M. N. Gandy, M. McIldowie, K. Lewis, A. M. Wasik, D. Salomonczyk, K. Wagg, Z. A. Millar, D. Tindiglia, P. Huot, T. Johnston, S. Thiele, B. Nguyen, N. M. Barnes, J. M. Brotchie, M. T. Martin-Iverson, J. Nash, J. Gordon and M. J. Piggott, Med. Chem. Commun., 2010, 1, 287 DOI: 10.1039/C0MD00108B

To request permission to reproduce material from this article, please go to the Copyright Clearance Center request page.

If you are an author contributing to an RSC publication, you do not need to request permission provided correct acknowledgement is given.

If you are the author of this article, you do not need to request permission to reproduce figures and diagrams provided correct acknowledgement is given. If you want to reproduce the whole article in a third-party publication (excluding your thesis/dissertation for which permission is not required) please go to the Copyright Clearance Center request page.

Read more about how to correctly acknowledge RSC content.

Spotlight

Advertisements