Issue 17, 2009

Catalytic 2,3,4-hexatriene formation by terminal alkyne coupling at calcium

Abstract

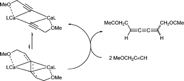
Heteroleptic calcium amides effect the catalytic dimerisation of the terminal alkyne CH3OCH2C[triple bond, length as m-dash]CH to the hexatriene (CH3OCH2)CH[double bond, length as m-dash]C[double bond, length as m-dash]C[double bond, length as m-dash]CH(CH2OCH3) under mild conditions; the reaction is proposed to occur via a dimeric calcium acetylide intermediate and to be promoted by polarisation of the electron density within the alkynide C[triple bond, length as m-dash]C bonds.

Graphical abstract: Catalytic 2,3,4-hexatriene formation by terminal alkyne coupling at calcium

Supplementary files

Article information

Article type
Communication
Submitted
24 Oct 2008
Accepted
04 Mar 2009
First published
27 Mar 2009

Chem. Commun., 2009, 2299-2301

Catalytic 2,3,4-hexatriene formation by terminal alkyne coupling at calcium

A. G. M. Barrett, M. R. Crimmin, M. S. Hill, P. B. Hitchcock, S. L. Lomas, P. A. Procopiou and K. Suntharalingam, Chem. Commun., 2009, 2299 DOI: 10.1039/B818848C

To request permission to reproduce material from this article, please go to the Copyright Clearance Center request page.

If you are an author contributing to an RSC publication, you do not need to request permission provided correct acknowledgement is given.

If you are the author of this article, you do not need to request permission to reproduce figures and diagrams provided correct acknowledgement is given. If you want to reproduce the whole article in a third-party publication (excluding your thesis/dissertation for which permission is not required) please go to the Copyright Clearance Center request page.

Read more about how to correctly acknowledge RSC content.

Social activity

Spotlight

Advertisements