Issue 19, 2007

Aminocyclopentanols as sugar mimics. Synthesis from unsaturated bicyclic lactones by Overman rearrangement

Abstract

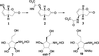
Bicyclic cyclopentane lactones, prepared from bromodeoxyaldonolactones, were transformed into aminocyclopentanols with an Overman rearrangement as the key step. Two of the compounds prepared, 7 and 19, were found to be good inhibitors of jack bean α-mannosidase and β-D-N-acetylglucosaminidase, respectively.

Graphical abstract: Aminocyclopentanols as sugar mimics. Synthesis from unsaturated bicyclic lactones by Overman rearrangement

Article information

Article type
Paper
Submitted
05 Jul 2007
Accepted
03 Aug 2007
First published
22 Aug 2007

Org. Biomol. Chem., 2007,5, 3164-3171

Aminocyclopentanols as sugar mimics. Synthesis from unsaturated bicyclic lactones by Overman rearrangement

M. Bøjstrup, M. Fanefjord and I. Lundt, Org. Biomol. Chem., 2007, 5, 3164 DOI: 10.1039/B710232A

To request permission to reproduce material from this article, please go to the Copyright Clearance Center request page.

If you are an author contributing to an RSC publication, you do not need to request permission provided correct acknowledgement is given.

If you are the author of this article, you do not need to request permission to reproduce figures and diagrams provided correct acknowledgement is given. If you want to reproduce the whole article in a third-party publication (excluding your thesis/dissertation for which permission is not required) please go to the Copyright Clearance Center request page.

Read more about how to correctly acknowledge RSC content.

Social activity

Spotlight

Advertisements