Issue 10, 2007

Modeling the inhibition of peptide deformylase by hydroxamic acids: influence of the sulfur donor

Abstract

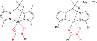
The first complexes containing both a sulfur atom and a hydroxamate moiety coordinated to a biologically relevant transition metal were synthesized as models for the structure of inhibited peptide deformylases. Two of these [(N2S)Zn(hydroxamate)] complexes were characterized by X-ray crystallography. The first contains a thioether and a simple hydroxamate, the second a thiolate and a N-substituted hydroxamate. Isolation of a complex with a thiolate and a simple hydroxamate group was not possible.

Graphical abstract: Modeling the inhibition of peptide deformylase by hydroxamic acids: influence of the sulfur donor

Supplementary files

Article information

Article type
Paper
Submitted
07 Nov 2006
Accepted
03 Jan 2007
First published
23 Jan 2007

Dalton Trans., 2007, 1047-1052

Modeling the inhibition of peptide deformylase by hydroxamic acids: influence of the sulfur donor

E. Galardon, M. Giorgi and I. Artaud, Dalton Trans., 2007, 1047 DOI: 10.1039/B616212F

To request permission to reproduce material from this article, please go to the Copyright Clearance Center request page.

If you are an author contributing to an RSC publication, you do not need to request permission provided correct acknowledgement is given.

If you are the author of this article, you do not need to request permission to reproduce figures and diagrams provided correct acknowledgement is given. If you want to reproduce the whole article in a third-party publication (excluding your thesis/dissertation for which permission is not required) please go to the Copyright Clearance Center request page.

Read more about how to correctly acknowledge RSC content.

Social activity

Spotlight

Advertisements