Issue 40, 2007

A bromine catalysed dimerisation of α,α′-dihalomonopyrrolo-TTF

Abstract

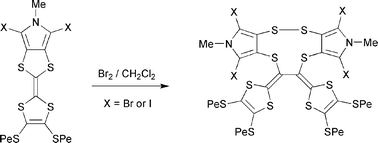
Dihalomonopyrrolo-TTF undergoes a bromine catalysed dimerisation reaction to yield a novel type of extended TTF derivative.

Graphical abstract: A bromine catalysed dimerisation of α,α′-dihalomonopyrrolo-TTF

Supplementary files

Article information

Article type
Communication
Submitted
30 May 2007
Accepted
28 Jun 2007
First published
30 Jul 2007

Chem. Commun., 2007, 4110-4112

A bromine catalysed dimerisation of α,α′-dihalomonopyrrolo-TTF

H. Gopee, B. M. Petersen, A. D. Bond and J. O. Jeppesen, Chem. Commun., 2007, 4110 DOI: 10.1039/B708191J

To request permission to reproduce material from this article, please go to the Copyright Clearance Center request page.

If you are an author contributing to an RSC publication, you do not need to request permission provided correct acknowledgement is given.

If you are the author of this article, you do not need to request permission to reproduce figures and diagrams provided correct acknowledgement is given. If you want to reproduce the whole article in a third-party publication (excluding your thesis/dissertation for which permission is not required) please go to the Copyright Clearance Center request page.

Read more about how to correctly acknowledge RSC content.

Social activity

Spotlight

Advertisements