Issue 19, 2007

Metal template assembly of highly functionalized octacyanoporphyrazine framework from TCNE structural units

Abstract

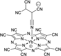
A new route to the octacyanoporphyrazine framework based on the interaction of metal sandwich π-complexes with TCNE has been developed.

Graphical abstract: Metal template assembly of highly functionalized octacyanoporphyrazine framework from TCNE structural units

Supplementary files

Additions and corrections

Article information

Article type
Communication
Submitted
08 Feb 2007
Accepted
15 Mar 2007
First published
03 Apr 2007

Chem. Commun., 2007, 1942-1944

Metal template assembly of highly functionalized octacyanoporphyrazine framework from TCNE structural units

L. G. Klapshina, I. S. Grigoryev, W. E. Douglas, A. A. Trifonov, I. D. Gudilenkov, V. V. Semenov, B. A. Bushuk and S. B. Bushuk, Chem. Commun., 2007, 1942 DOI: 10.1039/B701994G

To request permission to reproduce material from this article, please go to the Copyright Clearance Center request page.

If you are an author contributing to an RSC publication, you do not need to request permission provided correct acknowledgement is given.

If you are the author of this article, you do not need to request permission to reproduce figures and diagrams provided correct acknowledgement is given. If you want to reproduce the whole article in a third-party publication (excluding your thesis/dissertation for which permission is not required) please go to the Copyright Clearance Center request page.

Read more about how to correctly acknowledge RSC content.

Social activity

Spotlight

Advertisements