Issue 8, 2005

Photocycloaddition of cyclohex-2-enones to alkylidenemalononitriles (1,1-dicyanoalkenes)

Abstract

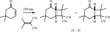
5,5-Dimethylcyclohex-2-enone (1a) photocycloadds to ethylidenemalononitrile (2a) to give 5-oxobicyclo[4.2.0]octane-7,7-dicarbonitriles with slight preference, in analogy to results already described for light induced reactions between cyclohexenones and acrylonitrile (AN). In contrast, irradiation of 1a in the presence of isopropylidenemalononitrile (2b) leads to selective formation of the (opposed) 2-oxo regioisomers. Similar trends in product distribution regarding the orientation of addition are also observed in light-induced reactions of 2-alkynylcyclohexenone 1b with either 2a or 2b.

Graphical abstract: Photocycloaddition of cyclohex-2-enones to alkylidenemalononitriles (1,1-dicyanoalkenes)

Supplementary files

Article information

Article type
Paper
Submitted
29 Apr 2005
Accepted
14 Jun 2005
First published
01 Jul 2005

Photochem. Photobiol. Sci., 2005,4, 637-640

Photocycloaddition of cyclohex-2-enones to alkylidenemalononitriles (1,1-dicyanoalkenes)

B. Lohmeyer and P. Margaretha, Photochem. Photobiol. Sci., 2005, 4, 637 DOI: 10.1039/B506022B

To request permission to reproduce material from this article, please go to the Copyright Clearance Center request page.

If you are an author contributing to an RSC publication, you do not need to request permission provided correct acknowledgement is given.

If you are the author of this article, you do not need to request permission to reproduce figures and diagrams provided correct acknowledgement is given. If you want to reproduce the whole article in a third-party publication (excluding your thesis/dissertation for which permission is not required) please go to the Copyright Clearance Center request page.

Read more about how to correctly acknowledge RSC content.

Spotlight

Advertisements