Issue 15, 2005

Developing high affinity oligosaccharideinhibitors: conformational pre-organization paired with functional group modification

Abstract

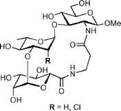
Intramolecular tethering combined with functional group modification has been investigated as an approach to design high affinity oligosaccharide ligands. The preceding paper reported successful tethering to constrain a trisaccharide in the conformation of its bound state with an antibody and thereby achieved a 15-fold increase in association constant. Here we report the synthesis of two β-alanyl tethered derivatives that employ monochlorination and monodeoxygenation strategies to create inhibitors that should enhance the binding affinity of the target molecules by an additional 10–25-fold, provided that free energy changes are additive when tethering is paired with functional group changes. The binding parameters of the new ligands 5 and 6 were measured by isothermal titration calorimetry and the results rationalized with molecular dynamics calculations and a simple docking analysis. The data indicate that while the alanine tether is a reasonable method to constrain trisaccharide 1, free energy gains obtained by pairing it with functional group modification are not additive and in one case counter-productive.

Graphical abstract: Developing high affinity oligosaccharide inhibitors: conformational pre-organization paired with functional group modification

Article information

Article type
Paper
Submitted
18 Oct 2004
Accepted
09 May 2005
First published
10 Jun 2005

Org. Biomol. Chem., 2005,3, 2733-2740

Developing high affinity oligosaccharide inhibitors: conformational pre-organization paired with functional group modification

R. S. McGavin and D. R. Bundle, Org. Biomol. Chem., 2005, 3, 2733 DOI: 10.1039/B416106H

To request permission to reproduce material from this article, please go to the Copyright Clearance Center request page.

If you are an author contributing to an RSC publication, you do not need to request permission provided correct acknowledgement is given.

If you are the author of this article, you do not need to request permission to reproduce figures and diagrams provided correct acknowledgement is given. If you want to reproduce the whole article in a third-party publication (excluding your thesis/dissertation for which permission is not required) please go to the Copyright Clearance Center request page.

Read more about how to correctly acknowledge RSC content.

Social activity

Spotlight

Advertisements