Issue 13, 2003

Polymeric enzyme mimics: catalytic activity of ribose-containing polymers for a phosphate substrate

Abstract

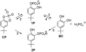
The polymers containing ribose rings: poly(5′-acrylamido-5′-deoxy-1′,2′-O-isopropylidene-α-D-ribose) (11), poly(5′-acrylamido-5′-deoxy-α-D-ribose) (12) and poly(5′-acrylamido-5′-deoxy-1′-O-methyl-D-ribose) (13) were prepared as enzyme mimics. Polymers 12 and 13 with free vic-cis-diol groups catalyzed the hydrolysis of phosphodiester (ethyl p-nitrophenyl phosphate and N-methylpyridinium 4-tert-butylcatechol cyclic phosphate ) and phosphomonoester substrates with a rate acceleration of 10 ∼ 103 compared with the uncatalyzed reaction. They also catalyzed the reverse reactions, i.e., the esterification of phosphomonoester to phosphodiester and the phosphorylation of alcohols with phosphate ions. The catalytic activity was attributable to the vic-cis-diols of riboses on polymer chains, which formed hydrogen bonds with two phosphoryl oxygen atoms of phosphates so as to activate the phosphorus atoms to be attacked by nucleophiles. The catalytic activity was negligible for polymer 11 where vic-cis-diol groups were blocked with isopropylidene groups. The catalytic activity was attributable to the vic-cis-diols of riboses on polymer chains, which formed hydrogen bonds with two phosphoryl oxygen atoms of phosphates so as to activate the phosphorus atoms to be attacked by nucleophiles.

Graphical abstract: Polymeric enzyme mimics: catalytic activity of ribose-containing polymers for a phosphate substrate

Article information

Article type
Paper
Submitted
03 Feb 2003
Accepted
08 May 2003
First published
27 May 2003

Org. Biomol. Chem., 2003,1, 2276-2282

Polymeric enzyme mimics: catalytic activity of ribose-containing polymers for a phosphate substrate

M. J. Han, K. S. Yoo, Y. H. Kim and J. Y. Chang, Org. Biomol. Chem., 2003, 1, 2276 DOI: 10.1039/B301166F

To request permission to reproduce material from this article, please go to the Copyright Clearance Center request page.

If you are an author contributing to an RSC publication, you do not need to request permission provided correct acknowledgement is given.

If you are the author of this article, you do not need to request permission to reproduce figures and diagrams provided correct acknowledgement is given. If you want to reproduce the whole article in a third-party publication (excluding your thesis/dissertation for which permission is not required) please go to the Copyright Clearance Center request page.

Read more about how to correctly acknowledge RSC content.

Social activity

Spotlight

Advertisements