Issue 2, 2003

A polyamidoamine dendrimer with peripheral 1,8-naphthalimide groups capable of acting as a PET fluorescent sensor for metal cations

Abstract

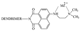
The effect of some metal ions (Fe2+, Ni2+, Zn2+, Pb2+) upon the fluorescent intensity of a first generation polyamidoamine dendrimer with a peripheral 4-dimethylaminoethylamine-1,8-naphthalimide group was investigated. The presence of metal ions was found to evoke a photoinduced electron transfer leading to an enhancement in the fluorescence. The results obtained reveal the capacities of these systems to act as sensitive detectors of environment pollution by metal ions. The metal ions inhibit the photodegradation of the dendrimer molecule which exhibits PET properties.

Graphical abstract: A polyamidoamine dendrimer with peripheral 1,8-naphthalimide groups capable of acting as a PET fluorescent sensor for metal cations

Article information

Article type
Paper
Submitted
15 May 2002
Accepted
18 Oct 2002
First published
08 Jan 2003

New J. Chem., 2003,27, 337-340

A polyamidoamine dendrimer with peripheral 1,8-naphthalimide groups capable of acting as a PET fluorescent sensor for metal cations

I. Grabchev, J. Chovelon and X. Qian, New J. Chem., 2003, 27, 337 DOI: 10.1039/B204727F

To request permission to reproduce material from this article, please go to the Copyright Clearance Center request page.

If you are an author contributing to an RSC publication, you do not need to request permission provided correct acknowledgement is given.

If you are the author of this article, you do not need to request permission to reproduce figures and diagrams provided correct acknowledgement is given. If you want to reproduce the whole article in a third-party publication (excluding your thesis/dissertation for which permission is not required) please go to the Copyright Clearance Center request page.

Read more about how to correctly acknowledge RSC content.

Social activity

Spotlight

Advertisements