Issue 16, 2003

Building of dithiocarbamate and dithiocarbimate ligands within a heterobimetallic core

Abstract

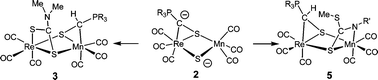
Heterobinuclear anions [MnRe(CO)6(μ-S)(μ-SCPR3)]2− (2) undergo selective protonation and electrophilic addition of dimethylthiocarbamoyl or isothiocyanate to afford, respectively, neutral [MnRe(CO)6(μ-S2CNMe2)(μ-S2CPR3)] (3) containing μ2-(S,S′) dithiocarbamate, or anionic [MnRe(CO)6(µ-SC(S)NR′){µ-SC(H)PR3}] (4) containing μ2-(N,S)-dithiocarbimate. The terminal sulfur in the latter can be methylated with MeI or metallated with [AuCl(p-tolyl)3] to give neutral dithiocarbimato complexes 5 or 6. The structures of 3a (R = Pri), 5a (R = Pri, R′= Et), and 5c (R = Pri, R′= Ph), have been determined by X-ray crystallography.

Graphical abstract: Building of dithiocarbamate and dithiocarbimate ligands within a heterobimetallic core

Supplementary files

Article information

Article type
Paper
Submitted
23 Apr 2003
Accepted
24 Jun 2003
First published
15 Jul 2003

Dalton Trans., 2003, 3264-3269

Building of dithiocarbamate and dithiocarbimate ligands within a heterobimetallic core

J. Li, D. Miguel, D. Morales, V. Riera, A. Aguirre-Pérez and S. García-Granda, Dalton Trans., 2003, 3264 DOI: 10.1039/B304432G

To request permission to reproduce material from this article, please go to the Copyright Clearance Center request page.

If you are an author contributing to an RSC publication, you do not need to request permission provided correct acknowledgement is given.

If you are the author of this article, you do not need to request permission to reproduce figures and diagrams provided correct acknowledgement is given. If you want to reproduce the whole article in a third-party publication (excluding your thesis/dissertation for which permission is not required) please go to the Copyright Clearance Center request page.

Read more about how to correctly acknowledge RSC content.

Social activity

Spotlight

Advertisements