Issue 6, 2002

Fluorescence of pterin, 6-formylpterin, 6-carboxypterin and folic acid in aqueous solution: pH effects

Abstract

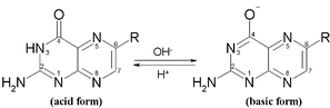
Steady-state and time-resolved studies have been performed on four compounds of the pterin family (pterin, 6-carboxypterin, 6-formylpterin and folic acid) in aqueous solution, using the single photon counting technique. The fluorescence characteristics (spectra, quantum yields, lifetimes) of these compounds and their dependence on the pH have been investigated. Most pterins can exist in two acid–base forms over the pH range between 3 and 13. Emission spectra and excitation spectra were obtained for both forms of each compound studied. Fluorescence quantum yields (ΦF) in acidic and basic media were measured. The ΦF of folic acid (<0.005 in both media) is very low compared to those of pterin (0.27 in basic media and 0.33 in acidic media), 6-carboxypterin (0.18 in basic media and 0.28 in acidic media) and 6-formylpterin (0.07 in basic media and 0.12 in acidic media). The variation in integrated fluorescence intensity and fluorescence lifetimes (τF) was analysed as a function of pH. Dynamic quenching by OH was observed and the corresponding bimolecular rate constants for quenching of fluorescence (kq) were calculated. The reported values for kq (M−1 s−1) are 3.6 × 109, 1.9 × 109and 1.1 × 1010 M−1 s−1 for pterin, 6-carboxypterin and 6-formylpterin, respectively.

Graphical abstract: Fluorescence of pterin, 6-formylpterin, 6-carboxypterin and folic acid in aqueous solution: pH effects

Article information

Article type
Paper
Submitted
28 Feb 2002
Accepted
23 Apr 2002
First published
08 May 2002

Photochem. Photobiol. Sci., 2002,1, 421-426

Fluorescence of pterin, 6-formylpterin, 6-carboxypterin and folic acid in aqueous solution: pH effects

A. H. Thomas, C. Lorente, A. L. Capparelli, M. R. Pokhrel, A. M. Braun and E. Oliveros, Photochem. Photobiol. Sci., 2002, 1, 421 DOI: 10.1039/B202114E

To request permission to reproduce material from this article, please go to the Copyright Clearance Center request page.

If you are an author contributing to an RSC publication, you do not need to request permission provided correct acknowledgement is given.

If you are the author of this article, you do not need to request permission to reproduce figures and diagrams provided correct acknowledgement is given. If you want to reproduce the whole article in a third-party publication (excluding your thesis/dissertation for which permission is not required) please go to the Copyright Clearance Center request page.

Read more about how to correctly acknowledge RSC content.

Spotlight

Advertisements