Issue 6, 2002

Photoredox, photodecarboxylation, and photo-retro-Aldol chemistry of p-nitrobiphenyls

Abstract

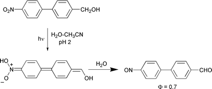
The photochemistry of three p-nitrobiphenyl derivatives 9–11 has been investigated to explore the ability of photoexcited nitro groups to induce chemistry through the biphenyl ring system. Previous work has shown that the nitro group is highly electron withdrawing at both the meta and para positions (on the benzene ring) in the excited triplet state, inducing decarboxylations and retro-Aldol type reactions, as well as a novel intramolecular redox-type reaction. The mechanisms of all of these reactions are believed to involve photogenerated nitrobenzyl carbanion-type intermediates. Analogous reactions with enhanced quantum efficiencies were observed in the nitrobiphenyls studied in this work. This is further evidence that twisted ground state biaryls (and possibly higher order oligophenylenes) may be thought of as highly polarizable electronically conjugated π-systems in the excited state with the ability to induce efficient photochemistry. Moreover, a charge transfer triplet state is believed to be responsible for inducing highly efficient, novel acid-catalyzed pathways observed for the photodecarboxylation of 11 and the photoredox reaction of 9, neither of which has been observed in the corresponding nitrophenyl (parent) system.

Graphical abstract: Photoredox, photodecarboxylation, and photo-retro-Aldol chemistry of p-nitrobiphenyls

Article information

Article type
Paper
Submitted
29 Jan 2002
Accepted
11 Apr 2002
First published
13 May 2002

Photochem. Photobiol. Sci., 2002,1, 384-394

Photoredox, photodecarboxylation, and photo-retro-Aldol chemistry of p-nitrobiphenyls

J. Morrison, H. Osthoff and P. Wan, Photochem. Photobiol. Sci., 2002, 1, 384 DOI: 10.1039/B201087A

To request permission to reproduce material from this article, please go to the Copyright Clearance Center request page.

If you are an author contributing to an RSC publication, you do not need to request permission provided correct acknowledgement is given.

If you are the author of this article, you do not need to request permission to reproduce figures and diagrams provided correct acknowledgement is given. If you want to reproduce the whole article in a third-party publication (excluding your thesis/dissertation for which permission is not required) please go to the Copyright Clearance Center request page.

Read more about how to correctly acknowledge RSC content.

Spotlight

Advertisements