Issue 5, 2002

Interactions between alkynes and methoxy or dimethylamino groups in peri-naphthalene systems

Abstract

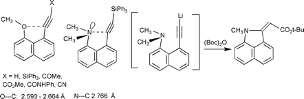
X-Ray studies of a series of 1-ethynyl-8-methoxynaphthalenes with varying functional groups at the alkyne terminus show only small changes in the 1,5 MeO⋯spC contact distances (2.593–2.663 Å) despite the different through-bond electron-attracting powers of the terminal substituents. Replacement of methoxy with dimethylamino led to a chemical reaction when the alkyne's activating group was a carboxylic ester. The 1,5 N⋯spC interaction between a dimethylamino group and a triphenylsilylethyne group has a 1,5 Me2N⋯spC contact distance ca. 0.12 Å longer than for the corresponding methoxy case, indicative of a primarily steric interaction.

Graphical abstract: Interactions between alkynes and methoxy or dimethylamino groups in peri-naphthalene systems

Supplementary files

Article information

Article type
Paper
Submitted
28 Jan 2002
Accepted
18 Mar 2002
First published
12 Apr 2002

J. Chem. Soc., Perkin Trans. 2, 2002, 878-886

Interactions between alkynes and methoxy or dimethylamino groups in peri-naphthalene systems

P. C. Bell, W. Skranc, X. Formosa, J. O'Leary and J. D. Wallis, J. Chem. Soc., Perkin Trans. 2, 2002, 878 DOI: 10.1039/B201038K

To request permission to reproduce material from this article, please go to the Copyright Clearance Center request page.

If you are an author contributing to an RSC publication, you do not need to request permission provided correct acknowledgement is given.

If you are the author of this article, you do not need to request permission to reproduce figures and diagrams provided correct acknowledgement is given. If you want to reproduce the whole article in a third-party publication (excluding your thesis/dissertation for which permission is not required) please go to the Copyright Clearance Center request page.

Read more about how to correctly acknowledge RSC content.

Spotlight

Advertisements