Issue 13, 2002

Synthesis of 1,3,4-thiadiazole oligomers

Abstract

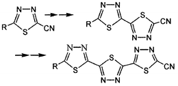
A range of hydrazono chlorides 8, readily prepared from 5-substituted tetrazoles 7 and Appel salt 1, are rapidly converted by triphenylphosphine into 5-cyano-1,3,4-thiadiazoles 9 in high yield. These cyanides are converted by azide into the corresponding tetrazoles 10 which with Appel salt give the hydrazono chlorides 11 which are similarly converted by triphenylphosphine into the bi-1,3,4-thiadiazolyls 12a,c,g, all in high yield. Repetition of the 3-step sequence (12131415) gives the ter-1,3,4-thiadiazolyls 15a,g.

Graphical abstract: Synthesis of 1,3,4-thiadiazole oligomers

Article information

Article type
Paper
Submitted
16 Apr 2002
Accepted
10 May 2002
First published
30 May 2002

J. Chem. Soc., Perkin Trans. 1, 2002, 1543-1547

Synthesis of 1,3,4-thiadiazole oligomers

V. Le, C. W. Rees and S. Sivadasan, J. Chem. Soc., Perkin Trans. 1, 2002, 1543 DOI: 10.1039/B203705J

To request permission to reproduce material from this article, please go to the Copyright Clearance Center request page.

If you are an author contributing to an RSC publication, you do not need to request permission provided correct acknowledgement is given.

If you are the author of this article, you do not need to request permission to reproduce figures and diagrams provided correct acknowledgement is given. If you want to reproduce the whole article in a third-party publication (excluding your thesis/dissertation for which permission is not required) please go to the Copyright Clearance Center request page.

Read more about how to correctly acknowledge RSC content.

Spotlight

Advertisements