Issue 8, 2002

Synthesis and in vitro enzyme activity of an oxa analogue of azi-DAP

Abstract

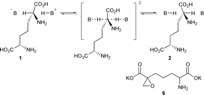
The synthesis of a novel epoxide inhibitor 6 of meso-DAP epimerase was achieved. A new and convenient assay for meso-DAP epimerase was devised which is a considerable improvement on previously reported assay methods. This assay was used to determine the inhibitory properties of 6. The epoxide 6 shows limited competitive inhibition vs. meso-DAP epimerase, but clear time dependent inhibition indicative of the expected covalent attachment at the active site. Epoxide 6, although an effective inhibitor of meso-DAP epimerase, was unstable at pH 7.3 in aqueous buffer, being hydrolysed to the corresponding diol.

Graphical abstract: Synthesis and in vitro enzyme activity of an oxa analogue of azi-DAP

Article information

Article type
Paper
Submitted
15 Feb 2002
Accepted
04 Mar 2002
First published
26 Mar 2002

J. Chem. Soc., Perkin Trans. 1, 2002, 1029-1035

Synthesis and in vitro enzyme activity of an oxa analogue of azi-DAP

R. J. Cox, J. Durston and D. I. Roper, J. Chem. Soc., Perkin Trans. 1, 2002, 1029 DOI: 10.1039/B201727J

To request permission to reproduce material from this article, please go to the Copyright Clearance Center request page.

If you are an author contributing to an RSC publication, you do not need to request permission provided correct acknowledgement is given.

If you are the author of this article, you do not need to request permission to reproduce figures and diagrams provided correct acknowledgement is given. If you want to reproduce the whole article in a third-party publication (excluding your thesis/dissertation for which permission is not required) please go to the Copyright Clearance Center request page.

Read more about how to correctly acknowledge RSC content.

Spotlight

Advertisements