Issue 8, 2002

Structures of nanosized Fe–Ti mixed oxide particles produced by freezing method

Abstract

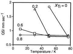
Fe–Ti mixed oxide nanoparticles with different atomic ratios in Ti/(Fe + Ti) from 0 to 1.0 have been prepared by hydrolysis of aqueous solutions containing Fe(III) and Ti(IV) ions and a freezing method with liquid N2, which inhibits crystallization and particle growth. The particles produced were poorly crystalline according to XRD and the product, in the absence of Ti(IV), was assigned to 2-line ferrihydrite. The products had a high specific surface area of 369–460 m2 g−1, corresponding to a mean particle size of 3–4 nm. These nanosized particles were composed of crystallites of about 1 nm size. It was found by Mössbauer spectroscopy that the particles produced were superparamagnetic and their blocking temperature and inner electric field decreased with increasing Ti(IV) content.

Graphical abstract: Structures of nanosized Fe–Ti mixed oxide particles produced by freezing method

Article information

Article type
Paper
Submitted
11 Mar 2002
Accepted
01 May 2002
First published
12 Jun 2002

J. Mater. Chem., 2002,12, 2416-2420

Structures of nanosized Fe–Ti mixed oxide particles produced by freezing method

T. Ishikawa, T. Ueno, A. Yasukawa, K. Kandori, T. Nakayama and T. Tsubota, J. Mater. Chem., 2002, 12, 2416 DOI: 10.1039/B202509B

To request permission to reproduce material from this article, please go to the Copyright Clearance Center request page.

If you are an author contributing to an RSC publication, you do not need to request permission provided correct acknowledgement is given.

If you are the author of this article, you do not need to request permission to reproduce figures and diagrams provided correct acknowledgement is given. If you want to reproduce the whole article in a third-party publication (excluding your thesis/dissertation for which permission is not required) please go to the Copyright Clearance Center request page.

Read more about how to correctly acknowledge RSC content.

Spotlight

Advertisements