Issue 3, 2002

Abstract

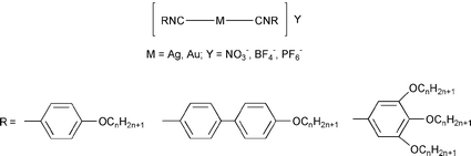
The synthesis, characterization and mesomorphic properties of gold(I) and silver(I) ionic isocyanide complexes [Au(CNR)2]Y [R = C6H4OCnH2n + 1, C6H4C6H4OCnH2n + 1, C6H2(3,4,5-OCnH2n + 1)3; Y = PF6, BF4 (n = 4, 8, 12), Y = NO3 (n = 8)] and [Ag(CNR)2]Y [R = C6H4OCnH2n + 1 (n = 8, 12), C6H4C6H4OCnH2n + 1 (n = 4, 8, 12), C6H2(3,4,5-OCnH2n + 1)3 (n = 4, 8 12); Y = NO3, BF4] are described. The free phenyl and 3,4,5-trialkoxyphenyl isocyanides are not liquid crystals but most of the gold and silver derivatives prepared are mesogens. Only the nitrate series of gold, which decompose on melting, and the complexes [Au(CNR)2]PF6 [R = C6H4OC4H9, C6H2(3,4,5-OC4H9)3] do not display mesogenic behaviour. The phenyl and biphenyl gold derivatives show smectic A phases and the analogous silver complexes display SmA and SmC mesophases, while the 3,4,5-trialkoxyphenyl isocyanide complexes of gold and silver show hexagonal columnar mesophases.

The influence of the metal atom, the anion and the isocyanide on mesogenic behaviour for these kinds of complexes is discussed.

Graphical abstract: Liquid crystalline behaviour in gold(i) and silver(i) ionic isocyanide complexes: smectic and columnar mesophases

Article information

Article type
Paper
Submitted
05 Oct 2001
Accepted
14 Dec 2001
First published
04 Feb 2002

J. Mater. Chem., 2002,12, 691-696

Liquid crystalline behaviour in gold(I) and silver(I) ionic isocyanide complexes: smectic and columnar mesophases

M. Benouazzane, S. Coco, P. Espinet, J. Miguel Martín-Alvarez and J. Barberá, J. Mater. Chem., 2002, 12, 691 DOI: 10.1039/B109061E

To request permission to reproduce material from this article, please go to the Copyright Clearance Center request page.

If you are an author contributing to an RSC publication, you do not need to request permission provided correct acknowledgement is given.

If you are the author of this article, you do not need to request permission to reproduce figures and diagrams provided correct acknowledgement is given. If you want to reproduce the whole article in a third-party publication (excluding your thesis/dissertation for which permission is not required) please go to the Copyright Clearance Center request page.

Read more about how to correctly acknowledge RSC content.

Spotlight

Advertisements