Issue 6, 2002

Design of a solid catalyst for the synthesis of a molecule with blossom orange scent

Abstract

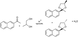
The synthesis of 2-methyl-2-naphthyl-4-methyl-1,3-dioxolane, a compound with blossom orange scent, has been successfully carried out by acetalization reaction between methyl naphthyl ketone and propylene glycol using different acid solid catalysts. The size and polarity of reactants, intermediates and product determine the strong influence of the textural properties of the catalyst (crystal size, acidity and adsorption properties) with the large pore tridirectional zeolites (Y and Beta) being the most active. It has been found that the hydrophobicity of the catalyst can be more determinant than the number of active sites present in the catalyst. The results show an optimum in activity for Si/Al ratios in Y and Beta zeolites that correspond to 35 and 100, respectively.

Graphical abstract: Design of a solid catalyst for the synthesis of a molecule with blossom orange scent

Article information

Article type
Paper
Submitted
31 Jul 2002
First published
07 Oct 2002

Green Chem., 2002,4, 565-569

Design of a solid catalyst for the synthesis of a molecule with blossom orange scent

M. J. Climent, A. Velty and A. Corma, Green Chem., 2002, 4, 565 DOI: 10.1039/B207506G

To request permission to reproduce material from this article, please go to the Copyright Clearance Center request page.

If you are an author contributing to an RSC publication, you do not need to request permission provided correct acknowledgement is given.

If you are the author of this article, you do not need to request permission to reproduce figures and diagrams provided correct acknowledgement is given. If you want to reproduce the whole article in a third-party publication (excluding your thesis/dissertation for which permission is not required) please go to the Copyright Clearance Center request page.

Read more about how to correctly acknowledge RSC content.

Social activity

Spotlight

Advertisements