Issue 23, 2002

Oxovanadium(iv and v) and copper(ii) complexes of N-salicyl-glycylglycine and N-salicyl-glycylglycylglycine

Abstract

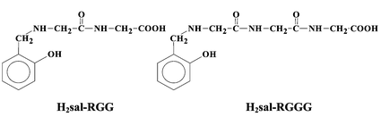
By reaction of salicylaldehyde and GlyGly or GlyGlyGly, followed by reduction with NaBH4, N-salicyl-glycylglycine 1 and N-salicyl-glycylglycylglycine 2, the reduced Schiff bases H2sal-RGG and H2sal-RGGG, containing the GlyGly or GlyGlyGly moities, are prepared and characterised. Their acid–base properties and complexation with VIVO2+ and CuII are studied by pH-potentiometry, visible absorption and EPR spectrometries, and the protonation and complex formation constants are determined. Vanadium and copper complexes are also prepared and characterised. Differences in the metal binding abilities of 1 and 2 are found. Amide deprotonation is proved but its extent depends on the system, being particularly important in the M–H2sal-RGG systems with the formation of the (O-phenolate, N-amine, N-amide, COO) (6+5+5)-membered joined chelate system. Depending on the system, at physiological pH this binding mode and/or 2 × (O-phenolate, N-amine) are dominant. The aminophenolate chelates formed with sal-RGG and sal-RGGG behave as anchoring donor sites and the ML and ML2 complexes, involving O-phenolate, N-amine chelation, form in higher relative concentration than in the corresponding M–GlyGly or M–GlyGlyGly systems. Moreover, while for the VIVO–H2sal-RGG system the N-amide deprotonation/co-ordination is strongly promoted, it is not so favoured in the CuII–H2sal-RGG and CuII–H2sal-RGGG systems. The increased stability induced by the additional O-phenolate donor is particularly relevant for sal-RGG and hydrolysis of the MLH−1 complexes starts several pH units higher than in the GlyGly systems. In contrast to VIV, the VV complexes formed with sal-RGGG were found to be more stable than those of sal-RGG.

Graphical abstract: Oxovanadium(iv and v) and copper(ii) complexes of N-salicyl-glycylglycine and N-salicyl-glycylglycylglycine

Supplementary files

Article information

Article type
Paper
Submitted
12 Jul 2002
Accepted
23 Sep 2002
First published
31 Oct 2002

J. Chem. Soc., Dalton Trans., 2002, 4440-4450

Oxovanadium(IV and V) and copper(II) complexes of N-salicyl-glycylglycine and N-salicyl-glycylglycylglycine

J. Costa Pessoa, I. Correia, T. Kiss, T. Jakusch, M. M. C. A. Castro and C. F. G. C. Geraldes, J. Chem. Soc., Dalton Trans., 2002, 4440 DOI: 10.1039/B206835B

To request permission to reproduce material from this article, please go to the Copyright Clearance Center request page.

If you are an author contributing to an RSC publication, you do not need to request permission provided correct acknowledgement is given.

If you are the author of this article, you do not need to request permission to reproduce figures and diagrams provided correct acknowledgement is given. If you want to reproduce the whole article in a third-party publication (excluding your thesis/dissertation for which permission is not required) please go to the Copyright Clearance Center request page.

Read more about how to correctly acknowledge RSC content.

Spotlight

Advertisements