Issue 5, 2002

In situ spectroscopic studies related to the mechanism of the Friedel–Crafts acetylation of benzene in ionic liquids using AlCl3 and FeCl3

Abstract

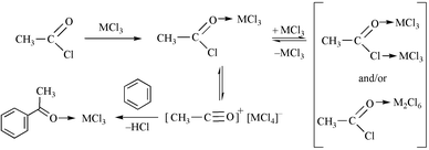
Several aspects of the mechanism of the Friedel–Crafts acetylation of benzene were studied by in situ spectroscopic methods in ionic liquids, prepared from MCl3 (M = Al or Fe) and 1-butyl-3-methylimidazolium chloride ([bmim]Cl). Mössbauer measurements have revealed that the addition of FeCl3 to [bmim]Cl leads to an equilibrium mixture that contains solid FeCl3, [bmim][Fe2Cl7], and Fe2Cl6 and/or [bmim][FeCl4], depending on the molar ratio of FeCl3 and [bmim]Cl. The formation of [(CH3CO)2CHCO]+[MCl4], a potential side product in the Friedel–Crafts acetylation of benzene, was shown to require the presence of both the acetylium ion [CH3CO]+[MCl4] and free acetyl chloride. We have confirmed that [(CH3CO)2CHCO]+[MCl4] does not involve in the Friedel–Crafts acetylation of benzene. Experimental data and theoretical calculations indicate that the acetylium ion [CH3CO]+[MCl4] is the key intermediate in the Friedel–Crafts acetylation of benzene and the reaction proceeds through an ionic mechanism.

Graphical abstract: In situ spectroscopic studies related to the mechanism of the Friedel–Crafts acetylation of benzene in ionic liquids using AlCl3 and FeCl3

Article information

Article type
Paper
Submitted
11 Oct 2001
Accepted
14 Nov 2001
First published
21 Jan 2002

J. Chem. Soc., Dalton Trans., 2002, 680-685

In situ spectroscopic studies related to the mechanism of the Friedel–Crafts acetylation of benzene in ionic liquids using AlCl3 and FeCl3

S. Csihony, H. Mehdi, Z. Homonnay, A. Vértes, Ö. Farkas and I. T. Horváth, J. Chem. Soc., Dalton Trans., 2002, 680 DOI: 10.1039/B109303G

To request permission to reproduce material from this article, please go to the Copyright Clearance Center request page.

If you are an author contributing to an RSC publication, you do not need to request permission provided correct acknowledgement is given.

If you are the author of this article, you do not need to request permission to reproduce figures and diagrams provided correct acknowledgement is given. If you want to reproduce the whole article in a third-party publication (excluding your thesis/dissertation for which permission is not required) please go to the Copyright Clearance Center request page.

Read more about how to correctly acknowledge RSC content.

Spotlight

Advertisements