Issue 19, 2002

Slow epimerization of stereochemically rigid diastereomers of the equatorially substituted cluster [Os3H23-S)(CO)8{(S)-PhCHMeNH2}]

Abstract

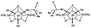
Turnstile rotation is suppressed in the equatorially substituted cluster [Os3(μ-H)23-S)(CO)8{(S)-PhCHMeNH2}] which was separated by HPLC into two diastereomers which do not interconvert at room temperature and epimerize only slowly at 90 °C.

Graphical abstract: Slow epimerization of stereochemically rigid diastereomers of the equatorially substituted cluster [Os3H2(μ3-S)(CO)8{(S)-PhCHMeNH2}]

Supplementary files

Article information

Article type
Communication
Submitted
12 Apr 2002
Accepted
12 Aug 2002
First published
05 Sep 2002

Chem. Commun., 2002, 2230-2231

Slow epimerization of stereochemically rigid diastereomers of the equatorially substituted cluster [Os3H23-S)(CO)8{(S)-PhCHMeNH2}]

A. J. Deeming, C. S. Forth, G. Hogarth, D. Markham, J. O. Prince and J. W. Steed, Chem. Commun., 2002, 2230 DOI: 10.1039/B203611H

To request permission to reproduce material from this article, please go to the Copyright Clearance Center request page.

If you are an author contributing to an RSC publication, you do not need to request permission provided correct acknowledgement is given.

If you are the author of this article, you do not need to request permission to reproduce figures and diagrams provided correct acknowledgement is given. If you want to reproduce the whole article in a third-party publication (excluding your thesis/dissertation for which permission is not required) please go to the Copyright Clearance Center request page.

Read more about how to correctly acknowledge RSC content.

Social activity

Spotlight

Advertisements