Issue 6, 2001

Kinetics and mechanisms of the reactions of the electrogenerated tetramethoxythianthrene cation radical and dication with methanol and pyridine derivatives in acetonitrile

Abstract

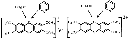
In order to clarify the differences in reactivity between cation radicals and dications, the kinetics and mechanisms were analysed in detail for the reactions of the electrogenerated 2,3,7,8-tetramethoxythianthrene cation radical (TMT˙+) and of the dication (TMT2+) with methanol and pyridine derivatives by using a pulse-electrolysis stopped-flow method. From the rate law determined for each reaction, the reaction mechanisms were elucidated, though they are different depending on the couples in the reactions. The reactions of TMT˙+ proceeded by multi-step reactions including the electron transfer of another TMT˙+ to generate TMT before the rate-determining step (rds). In contrast, in the reactions of TMT2+, it was found that the rds was the first or the second step of the reaction; i.e. the unstable cationic intermediate seems to be formed directly, not by the electron transfer. In addition to the excessive charge present in the dicationic state, a mechanism in which TMT2+ is easily accessible to the rds also seems to explain the high reactivity of TMT2+. The differences in the reaction mechanism depending on the nucleophiles were also supported by observing the substituent effects of pyridine derivatives on the reactions.

Graphical abstract: Kinetics and mechanisms of the reactions of the electrogenerated tetramethoxythianthrene cation radical and dication with methanol and pyridine derivatives in acetonitrile

Article information

Article type
Paper
Submitted
15 Sep 2000
Accepted
03 Apr 2001
First published
03 May 2001

J. Chem. Soc., Perkin Trans. 2, 2001, 1005-1010

Kinetics and mechanisms of the reactions of the electrogenerated tetramethoxythianthrene cation radical and dication with methanol and pyridine derivatives in acetonitrile

M. Oyama, T. Sasaki and S. Okazaki, J. Chem. Soc., Perkin Trans. 2, 2001, 1005 DOI: 10.1039/B007497G

To request permission to reproduce material from this article, please go to the Copyright Clearance Center request page.

If you are an author contributing to an RSC publication, you do not need to request permission provided correct acknowledgement is given.

If you are the author of this article, you do not need to request permission to reproduce figures and diagrams provided correct acknowledgement is given. If you want to reproduce the whole article in a third-party publication (excluding your thesis/dissertation for which permission is not required) please go to the Copyright Clearance Center request page.

Read more about how to correctly acknowledge RSC content.

Spotlight

Advertisements