Issue 20, 2001

Synthesis of a conformationally rigid scyllo-inositolpolymer as a novel chelating ligand

Abstract

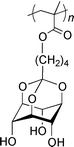
A poly(pentyl methacrylate) carrying a conformationally rigid scyllo-inositol substituent (with all axial hydroxy groups) in the 5-position of the pentyl ester chain has been synthesised.

Graphical abstract: Synthesis of a conformationally rigid scyllo-inositol polymer as a novel chelating ligand

Supplementary files

Article information

Article type
Communication
Submitted
11 Jun 2001
Accepted
10 Sep 2001
First published
27 Sep 2001

J. Chem. Soc., Perkin Trans. 1, 2001, 2524-2525

Synthesis of a conformationally rigid scyllo-inositol polymer as a novel chelating ligand

T. Kim and A. B. Holmes, J. Chem. Soc., Perkin Trans. 1, 2001, 2524 DOI: 10.1039/B105105A

To request permission to reproduce material from this article, please go to the Copyright Clearance Center request page.

If you are an author contributing to an RSC publication, you do not need to request permission provided correct acknowledgement is given.

If you are the author of this article, you do not need to request permission to reproduce figures and diagrams provided correct acknowledgement is given. If you want to reproduce the whole article in a third-party publication (excluding your thesis/dissertation for which permission is not required) please go to the Copyright Clearance Center request page.

Read more about how to correctly acknowledge RSC content.

Spotlight

Advertisements