Issue 6, 2001

Redox-active catecholate complexes of rhodium hydrotris(pyrazolyl)borates

Abstract

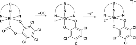
The complexes [Rh(CO)LTp′] {L = CO or PPh3, Tp′ = hydrotris(3,5-dimethylpyrazolyl)borate} reacted with the ortho-quinone o-C6Cl4O2 (o-chloranil; 3,4,5,6-tetrachloro-1,2-benzoquinone) to give [Rh{C(O)OC6Cl4O}LTp′] (L = CO, 1; L = PPh3, 2). X-Ray structural studies on 2 reveal CO insertion into one Rh–O bond of a rhodium–catecholate ring. Loss of the inserted CO on UV irradiation (of 1) or thermolysis (of 2) gives [Rh(o-O2C6Cl4)LTp′] (L = CO 3 or PPh34); thermal substitution of the CO ligand of [Rh(o-O2C6Cl4)(CO)Tp′] with L provides a second route to [Rh(o-O2C6Cl4)(PPh3)Tp′] as well as [Rh(o-O2C6Cl4)LTp′] {L = AsPh35, P(OPh)36 or py 7} which are oxidised by [NO]+ to the monocations [Rh(o-O2C6Cl4)LTp′]+4++7++. X-Ray structural studies on the redox pair [Rh(o-O2C6Cl4)(PPh3)Tp′]z (z = 0, 4 or 1, 4++) are consistent with catecholate ligand-based oxidation; the ESR spectra of the paramagnetic cations 4++7++ suggest little delocalisation of unpaired electron density from the semiquinone ligand to the RhIIILTp′ unit.

Graphical abstract: Redox-active catecholate complexes of rhodium hydrotris(pyrazolyl)borates

Supplementary files

Article information

Article type
Paper
Submitted
18 Dec 2000
Accepted
22 Jan 2001
First published
16 Feb 2001

J. Chem. Soc., Dalton Trans., 2001, 875-880

Redox-active catecholate complexes of rhodium hydrotris(pyrazolyl)borates

N. G. Connelly, D. J. H. Emslie, O. D. Hayward, A. G. Orpen and M. J. Quayle, J. Chem. Soc., Dalton Trans., 2001, 875 DOI: 10.1039/B010061G

To request permission to reproduce material from this article, please go to the Copyright Clearance Center request page.

If you are an author contributing to an RSC publication, you do not need to request permission provided correct acknowledgement is given.

If you are the author of this article, you do not need to request permission to reproduce figures and diagrams provided correct acknowledgement is given. If you want to reproduce the whole article in a third-party publication (excluding your thesis/dissertation for which permission is not required) please go to the Copyright Clearance Center request page.

Read more about how to correctly acknowledge RSC content.

Spotlight

Advertisements